|
选择计算实例(例2) |
|
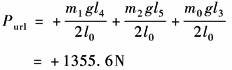
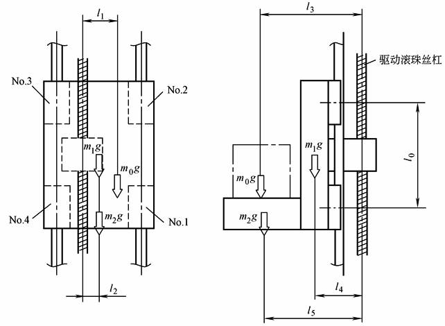
某立式滚动导轨副选用GGB25AB2P12×1500-4(四滚道,公称尺寸25,AB型,2根导轨,F1中预加载荷,2个滑块,导轨长1500mm,4级精度)。由表四滚道型滚动直线导轨副结构尺寸及载荷特性,基本额定动载荷C=17.7kN,基本额定静载荷C0=22.6kN,受载简图如下图1所示。相当于表直线运动系统常见受载情况的计算的情况1,由三个不同的mg进行叠加计算求出每个滑块的载荷 图1中,距离l0=300mm,l1=80mm,l2=50mm,l3=280mm,l4=150mm,l5=250mm,行程l=1000mm,质量m0=100kg,m1=200kg,m2=100kg 仅上升时装载质量m0,下降时不装载。重力加速度g=9.8m/s2 (1)滑块载荷大小的计算 1)上升时 ①滑块的径向载荷大小Purn
图1 ②滑块的横向载荷大小Puhn
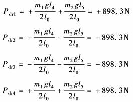
2)下降时 ①滑块的径向载荷大小Pdrn
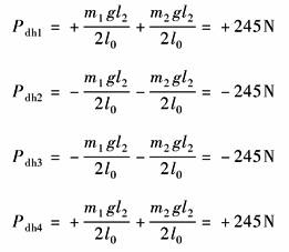
②滑块的横向载荷大小Pdhn
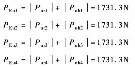
(2)当量载荷 x=1,y=1 1)上升时
2)下降时
(3)静态安全系数核算 按最大当量载荷及表静载能力计算中公式
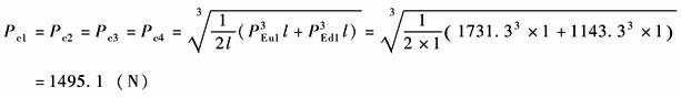
(4)平均载荷Pm计算 按表常见的平均载荷(Pm)计算公式,属于阶梯式变化载荷,Pm=Pc
(5)额定寿命计算 各滑块计算载荷相同,故寿命也相同,按表寿命计算中式(1)
(假定fW=1,fT=1,fH=1,2个滑块,故fC=0.81) 设每分钟往返次数n=4,二班制,每班8h,开机率70%。 则用表寿命计算中式(3)可算出用小时表示的寿命
若改选小一号GGB20AB型,C=11.5kN,C0=14.5kN 则可得fs=8.38,L=6998km,Lh=14521h La=4.32年 |












