|
需要的最小轴向载荷的计算 |
|
|
推力轴承在运转中滚动体受离心力矩作用,滚动体和滚道之间产生相对滑动,导致轴、座圈分离,为保证轴承正常工作,必须施加一定的轴向载荷预紧。所需的最小轴向载荷可分别按式(1)~式(4)计算 对推力球轴承:
|
|
|
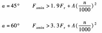
推力角接触球轴承 |
|
|
|
(1-1)
(1-2) |
|
对推力圆柱滚子轴承、推力圆锥滚子轴承:
对于推力调心滚子轴承:
对于推力滚针轴承:
式中 Famin—— 需要的最小轴向载荷,kN; Fr—— 径向载荷,kN; C0a—— 基本额定静载荷,kN,查本章轴承尺寸及性能表; A—— 最小载荷常数,查本章轴承尺寸及性能表; n—— 转速,r/min 当计算所得的需要最小轴向载荷大于作用于轴承上的实际轴向载荷时,轴承必须进行预紧(可用弹簧) |
|

