|
功率消耗计算 |
||
|
项 目 |
公 式 |
符 号 |
|
油 泵 输 入 功 率 |
|
Np—— 油泵输入功率,kW ps—— 油泵输出压力,N/cm2 Q—— 油泵输出流量,L/min η—— 油泵总效率 |
|
轴 回 转 摩 擦 功 率 |
|
Nf—— 一个径向和一侧推力轴承的摩擦功率,kW υ—— 径向轴承轴颈线速度,cm/s A—— 轴与径向轴承可接触表面的摩擦面积,cm2 A1—— 径向轴承油腔挖空部位面积,cm2 A'—— 轴肩(或止推环)与推力平面可接触表面的摩擦面积。对于环形油腔即是外端和内端封油面的面积,cm2 A'1—— 推力轴承油腔挖空部位的面积,cm2 υ'—— 近似取推力轴承推力平面上平均线速度,cm/s Z1—— 径向轴承油腔深度,对于圆弧形油腔,油腔深度取 Z'1—— 推力轴承油腔深度,cm |
|
功耗比 |
Kn=Nf/Np |
Kn——功耗比,按功耗最小原则设计时,经分析表明,最佳值在1~3范围内根据Nf=KnNp的关系,可计算出润滑油的黏度。当Kn=1时,具有最佳的润滑油黏度。在实际应用中,当受润滑油黏度过稀的限制时,不得不选用较大的Kn值 |
|
径向轴承 总功耗 |
N=Nf+Np=(1+Kn)Np |
N——一个径向轴承的总功耗,kW |
|
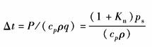
润滑油流 经轴承时 的温升 |
|
Δt——不计热传导、辐射等热损失时润滑油流经轴承时的温升,℃ cp——油的比定压热容,通常取cp=2120J/(kg·℃) ρ——油的密度,kg/m3;密度平均值取ρ=855kg/cm3 ps——供油压力,Pa |


