|
示例 |
|
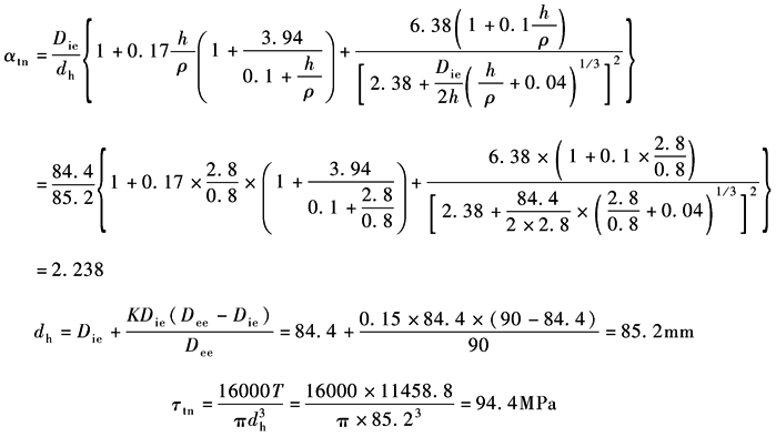
渐开线花键副:INT/EXT 44z×2m×30R×5H/5h GB/T 3478.1—1995 输入功率P=1500kW,转速n=1250r/min,输入端为燃气轮机(平稳),输出端为螺旋桨(中等冲击),花键结合长度l=32mm,工作齿高hw=2mm,全齿高h=2.8mm,齿根圆角半径ρ=0.8mm,大径Dee=90mm,小径Die=84.4mm,渐开线起始圆直径DFe=85.7mm,材料为优质合金钢,硬度为293~341HB,σ0.2≥835MPa,σb≥980MPa ① 载荷计算 输入转矩
名义切向力
单位载荷
② 齿面接触强度计算 齿面压应力
取SH=1.25,K1=1.25,K2=1.1,K3=1.1,K4=1.5 齿面许用压应力
计算结果:满足σH≤σHp的强度条件,安全 ③齿根弯曲强度计算
齿根弯曲应力
取SF=1.0 齿根许用弯曲应力
计算结果:满足σF≤σFp的强度条件,安全 ④ 齿根剪切强度计算
齿根最大剪切应力
许用剪切应力
计算结果:满足τFmax≤τFp的强度条件,安全 ⑤齿面耐磨损能力计算 a.花键副在108循环数以下工作时耐磨损能力计算 齿面压应力σH=106.8MPa,齿面磨损许用压应力σHp1=110MPa(查表花键承载能力计算公式中表2得) 计算结果:满足σH≤σHp1的强度条件,安全 b.花键副长期工作无磨损时耐磨损能力计算 齿面压应力σH=106.8MPa,齿面磨损许用压应力σHp2=0.032×293=9.4MPa(查表花键承载能力计算公式中表2得) 计算结果:未满足σH≤σHp2的强度条件,不能长期无磨损(或很少磨损)工作 ⑥ 外花键的扭转与弯曲强度计算 当量应力
许用压应力
计算结果:满足σv≤σvp的强度条件,安全 |


