|
建模步骤 |
||
|
项目 |
内容 |
说明 |
|
组 成 框 图 |
|
|
|
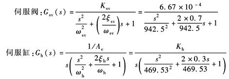
主 要 传 递 函 数 |
|
|
|
新 建 模 型 窗 口 |
|
点出“Simulink Library Brower” 下的图标“ 或者选择MATLAB命令窗口中的File\New\Model菜单选项 |
|
拖 入 成 员 块 |
|
从Simulink元件库中浏览窗口的“Continuous”子元件库中点击“TransferFcn”成员块,并拖到模型窗口 同样方法把“Commonly Used Blocks”子元件库中的“Sum”、“Gain”、“Switch”成员块拖到模型窗口 把Sources/Pulse Generator和Discrete/Zero-Order Hold等成员块拖到模型窗口;按图示顺序排列 |
|
复 制 、 旋 转 成 员 块 |
|
鼠标点出“Transfer Fcn”成员块的同时按住“Ctr1”键,移动鼠标,复制一传递函数“Transfer Fcn1”成员块,同样方法复制“Gain1”和“Gain2”成员块。复制等编辑过程遵循Windows规范操作。选中“Gain2”成员块,点出Format\Rotate Block两次或按“Ctr1+R”键两次使“Gain2”成员块旋转180°;同样方法旋转“Discrete Pulse Generator”成员块 单击成员块并移动鼠标,调整成员块相对位置 |
|
编 辑 成 员 块 |
|
双击每个成员块(Block),均能在弹出的对话框中对该块的参数进行编辑修改 双击“Transfer Fcn”成员块,把“Numerator”值[1]改为[6.67e-4];“Denominator”值[11]改为[1/942.50$22*0.7/942.501],“Transfer Fcn”成员块表达传递函数Gsv(s)。同样方法修改“Transfer Fcn1”成员块,使它表达传递函数Gh(s) 对其他成员块进行相应的修改 单击成员块后,用鼠标拖动成员块的任一角点,可改变成员块尺寸大小,使函数表达式显示完整 |
|
连 接 成 方 框 图 |
|
用鼠标点住成员块上的“>”,并拖到下一成员块的“>”处,在两成员块间自动连上流程线。从流程线上做分支线时,在点击鼠标前需按住“Ctr1”键。如左图示,其结果和通常书写的传递函数相同 选择菜单File\save,取文件名为“APC”,将保存为APC.md1模型文件 |







