|
液压压下系统的功能及控制原理 |
|||
|
轧机液压压下系统是控制大型复杂、负载力很大、扰动因素多、扰动关系复杂、控制精度和响应速度要求很高的设备,采用高精度仪表并由大中型工业控制计算机系统控制的电液伺服系统。以它为实例,具有代表性、先进性和实用性 |
|||
|
项目 |
内容 |
||
|
HAGC系统的含义及功能 |
AGC(Automatic Gauge Control)系厚度自动控制的简称 液压AGC即HAGC(Automatic Gauge Control Systems With Hydraulic Actuators)系采用液压执行元件(压下缸)的AGC,国内称液压压下系统。HAGC是现代板带轧机的关键系统,其功能是不管引起板厚偏差的各种扰动因素如何变化,都能自动调节压下缸的位置,即轧机的工作辊缝,从而使出口板厚恒定,保证产品的目标厚度、同板差、异板差达到性能指标要求 国外也有将HAGC称作HGC(Hydraulic Gap Control)或SDS(Hydraulic Screw Down System) |
||
|
液压压下与电动压下 |
液压压下由电动压下发展而来,所不同的是电动压下采用电机+大型蜗轮减速机+压下螺钉进行压下,结构笨重、响应低、精度差,且电动压下不能带钢压下。由于液压压下具有高精度、高响应、压下力大、尺寸小、结构简单等特点,现代轧机已全部采用液压压下。对于具有电动压下的厚板即大行程压下时仍采用电动压下(此时压下缸作液压垫使用),轧制成品薄板即小行程压下时采用液压AGC(此时电动压下螺钉不动) |
||
|
HAGC系统基本控制思想 |
轧机的弹跳方程如下,变形曲线见右图
式中 S0——空载辊缝,mm P——轧制力,N K——轧机的自然刚度,N/mm h——出口板厚,mm 影响板厚的各种因素集中表现在轧制力和辊缝上。影响轧制力的因素是:来料厚度H增加使P增大,轧材机械性能的变化和连轧中带材张力波动都将使P发生变化;影响辊缝的因素是:轧辊膨胀使S0减小,轧辊磨损使S0增大,轧辊偏心和油膜轴承的厚度变化会引起S0的周期变化 HAGC系统中:h为被控制量,希望h恒定,影响板厚变化的各种因素为扰动量。由于扰动因素多且变化复杂,因此HAGC系统的基本控制思想是:采用位置闭环控制+扰动补偿控制 |
H—来料板厚;S0—空载辊缝;P—轧制力;K—轧机的自然刚度; 1—轧机塑性变形抗力曲线;2—轧机弹性变形曲线 |
|
|
BISR AAGC及其原理 |
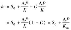
由于轧制力及其波动值很大,而轧机刚度有限,因此,扰动量中,以轧制力引起的轧机弹跳对出口板厚的影响最大。采用位置闭环+轧制力主扰动补偿构成的液压AGC,称为力补偿AGC或BISR AAGC,因为这种方法是英国钢铁研究协会(British Iron and Steel Research Association)提出的 右图为BISR AAGC原理图,引入力补偿后,出口板厚
式中 Km=K/(1-C)——称为轧机的控制刚度 Km可以通过调整补偿系数C加以改变: 使C=1时,Km=∞,意味着轧机控制刚度无穷大,即弹跳变形完全得到补偿,实现了恒辊缝轧制。由于力补偿为正反馈,为使系统稳定,应做成欠补偿,即取C=0.8~0.9 使C=0时,Km=K,意味着力不补偿未投入,只有位置环起作用,轧机的弹跳变形量影响仍然存在 |
1—伺服放大器;2—伺服阀;3—位移传感器; 4—位移传感器二次仪表;5—力传感器(压头); 6—力传感器二次仪表;7—补偿系数 |
|
|
液压AGC的控制策略 |
BISR AAGC仅对主要扰动—轧制力的变化及影响进行补偿,并提出了头部锁定(相对值)AGC技术。为使板厚精度达到高标准(例如,冷轧薄板的同板差小于等于±0.003mm,热轧薄板的同板差小于等于±0.02mm)必须对其他扰动也进行补偿,完善的液压AGC系统如右图所示,它包括: (1)液压APC(Automatic Position Control),即液压位置自动控制系统,它是液压AGC的内环系统,是一个高精度、高响应的电液位置闭环伺服系统,它决定着液压AGC系统的基本性能。它的任务是接受厚控AGC系统的指令,进行压下缸的位置闭环控制,使压下缸实时准确地定位在指令所要求的位置。也就是说,液压APC是液压AGC的执行系统 (2)轧机弹跳补偿MSC(Mill Stretch Compensation)。其任务是检测轧制力,补偿轧机弹跳造成的厚度偏差。MSC是HAGC系统的主要补偿环 |
|
|
|
(3)热凸度补偿TEC(Thermal Crown Compensation)。轧辊受热膨胀时,实际辊缝减小,轧制力增加,轧件出口厚度减小;此时如用弹跳方程式计算轧件出口厚度,由于轧制力增大,计算出的厚度反而变大了。如果不对此进行处理,AGC就会减小辊缝,使实现出口轧件厚度更薄,即轧辊热膨胀的影响反而被轧机弹跳补偿放大了。TEC的作用便是消除这种不良影响。此外,TEC中还要考虑轧辊磨损的影响 (4)油膜轴承厚度补偿BEC(Bearing Oil Compensation)。大型轧机支承辊轴承一般采用能适应高速重载的油膜轴承。油膜厚度取决于轧制力和支承辊速度:轧制力增加,辊缝增加;速度增加,辊缝减小。通过检测轧制力和支撑辊速度可进行BEC补偿 (5)支承辊偏心补偿ECC(Eccentricity Compensation)。支承辊偏心将使辊缝和轧制压力发生周期性变化,偏心使辊缝减小的同时,将使轧制力增大,如果将偏心量引起的轧制压力进行力补偿,必将使辊缝进一步减小,因为力补偿会使压下缸活塞朝着使辊缝减小的方向调节。为解决这一问题,拟在力补偿系数C环节之前加一死区环节,死区值等于或略大于最大偏心量,为了让小于死区值的其他缓变信号能够通过,死区环节旁并联一个时间常数较大的滤波器,滤波器不允许快速周期变化的偏心信号通过 (6)同步控制SMC(Synchronized Motion Compensation)。四辊轧机传动侧、操作侧的压下缸之间没有机械连接,两侧压下缸的负载力(轧制反力)又可能因偏载而差别较大,这将造成两侧运动位置不同步,为此需要引入同步控制。方法是将检测到的两侧压下缸活塞位移信号求和取平均值作为基准,以活塞位移与平均值的差值作为补偿信号,迫使位移慢的一侧加快运动到位,使位移快的一侧减慢运动到位 (7)倾斜控制。对于中厚板轧机,当来料出现楔形或轧制过程产生镰刀弯时,需引入倾斜控制。通过两侧轧制力差值或在轧机出口两侧各装一台激光测厚仪,测其两侧板厚差,进行倾斜控制,使板厚的一侧压下缸压下,板薄的一侧上抬 (8)加减速补偿。对于可逆冷轧机,轧机加速、减速过程中带材与辊系摩擦因数等变化引起的轧制力变化会对出口板厚造成影响,为此引入加减速补偿环,根据轧制数学模型推算出压下位置的修正量 (9)前馈(预控)AGC。针对入口板厚变化而造成的出口板厚影响而设置的补偿称为前馈AGC,方法是由测厚仪检测入口板厚,根据轧制数学模型推算出入口板厚对出口板厚的影响值,进而推算出压下指令修正量,并进行补偿控制 (10)监控AGC。通过检测出口板厚而设置的板厚指令修正补偿环称为监控AGC。尽管AGC系统中已采取了一系列补偿措施,由于扰动因素很多,且各扰动因素对出口板厚的影响关系复杂,不可能实现完全补偿,因此出口板厚难免还存在微小偏差,对于要求纵向厚差小于等于±(0.003~0.005)mm的冷轧机来说,应用测厚仪进行监控是必不可少的 以上补偿措施并非每台轧机都全部采用,需要根据轧机的类型、精度要求和工程经验采用其中的一些主要补偿措施 (11)恒压力AGC。上述AGC系统,难以补偿支承辊偏心造成的微小厚差。通常,轧制最后一个道次时,采用恒压轧制来减缓偏心造成的厚差。所谓恒压轧制是断开位置闭环,将力补偿变成力闭环,实现恒压力闭环控制。平整机中一般都采用恒压力AGC |
|||




