|
液压伺服油源的类型、特点及应用 |
||
|
类型 |
组成 |
特点及应用 |
|
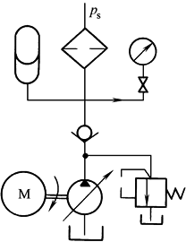
定量泵-溢流阀油源 |
|
特点: (1)简单、成本低 (2)压力稳定性较好,压力稳定性主要取决于溢流阀的动态特性 (3)效率低 (4)温升大,需用较大功率的冷却器 应用:一般用于低压、小功率伺服油源。对于伺服阀动态响应快的系统,拟在接近伺服阀入口处加设蓄能器,以减小ps波动,提高压力稳定性 |
|
恒压变量泵-蓄能器油源 |
|
特点: (1)恒压变量泵结构复杂、成本较高 (2)压力稳定性主要取决于泵的变量机构的动态响应,变量泵的动态响应比溢流阀低,因此采用恒压泵时一般须配用蓄能器 (3)恒压泵供油流量自动随负载流量而变化,因而效率高 (4)温升较小,冷却器功率可较小 应用:一般用于高压、大功率伺服油源。大流量时,可采用恒压泵并联、多蓄能器并联供油 |


