|
负载特性及其等效 |
||||
|
负载类型 |
负载特性方程 |
负载轨迹 |
说明 |
|
|
典 型 负 载 |
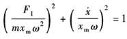
惯性负载 |
|
|
FI——惯性力,N m——负载质量,kg x——运动位移,m
xm——最大位移,振幅,m ω——运动角频率,rad/s |
|
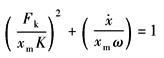
弹性负载 |
|
|
Fk——弹性力,N K——弹簧刚度,N/m |
|
|
黏性负载 |
|
|
Fv——黏性力,N B——黏性阻尼系数,N·s/m |
|
|
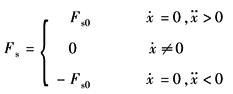
静摩擦力 |
|
|
Fs——静摩擦力,N Fsmax=|±Fs0|,与ω无关 |
|
|
动摩擦力 |
|
|
Fc——动摩擦力,N Fcmax=|±Fc0|,与ω无关 |
|
|
重力负载 |
|
|
Fw——重力,N g——重力加速度 |
|
|
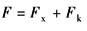
合 成 负 载 |
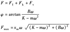
惯性负载+ 弹性负载+ 黏性负载 |
|
|
|
|
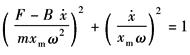
惯性负载+ 黏性负载 |
|
|
|
|
|
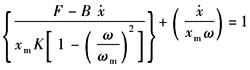
惯性负载+ 弹性负载 |
|
类似弹性负载轨迹,仅横坐标
|
|
|
|
黏性负载+ 静摩擦力+ 动摩擦力 |
|
|
|
|
|
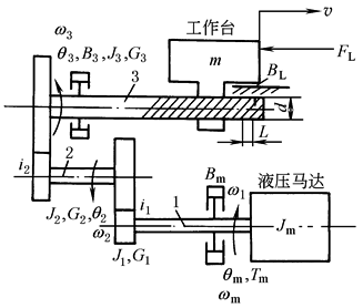
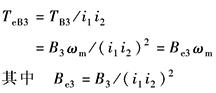
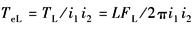
等 效 负 载 实 例 |
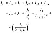
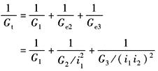
等效惯量 |
|
J1,J2,J3——1,2,3轴的转动惯量,N·m·s2/rad ω1,ω2,ω3——1,2,3轴的角速度,rad/s G1,G2,G3——1,2,3轴的扭转刚度,N·m/rad i1,i2——两齿轮对的减速比 Jm,Tm,ωm,Bm——液压马达的转动惯量、转矩(N·m)、转速及黏性阻尼系数(N·m·s/rad) L,d——滚珠丝杠的螺距、直径,m m,BL,FL,υ——工作台的惯量(kg)、黏性阻尼系数、负载力(N)及转速(m/s) |
|
|
等效刚度 |
|
|||
|
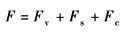
等效外负 载力矩 |
|
|||
|
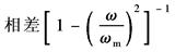
等效黏性 阻尼系数 |
|
|||






















