|
液压控制阀的静态特性及其阀系数的定义 |
||||
|
|
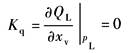
空载流量特性 |
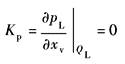
压力增益特性 |
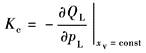
压力-流量特性 |
|
|
静 态 特 性 |
1—零开口滑阀、喷嘴挡板阀及 射流管阀;2—正开口滑阀 供油压力恒定,负载压力为零时,负载流量与阀位移的关系称为空载流量特性,表示为
空载流量特性曲线的斜率称为流量增益,用Kq表示
|
1—零开口滑阀;2—正开口滑阀、 喷嘴挡板阀及射流管阀 供油压力恒定,关闭负载通道即QL=0时,负载压力与阀芯位移的关系称为压力增益特性,表示为
压力增益特性曲线的斜率称为压力增益,用Kp表示
|
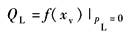
供油压力恒定时,负载流量与负载压力、阀芯位移的关系称为压力流量特性,表示为
阀芯位移一定时,压力-流量特性曲线的斜率的负数称为流量-压力系数,用Kc表示
|
|
|
阀 系 数 |
参数Kq、Kp、Kc统称为阀系数。阀系数全面地表征了阀的静态特性,而且直接影响着系统的静态和动态性能:Kq影响着开环增益,Kp影响着驱动负载的能力和负载引起的误差,Kc影响系统的刚度和阻尼。三个阀系数的关系:Kp=Kq/Kc 可采用解析法或图解法确定阀系数:如右图已求得压力-流量特性方程QL=f(pL,xv),求某点的偏导数便得阀系数;如已测到压力-流量特性曲线,可按右图确定阀系数,图中A是初始平衡工作点,B是新的工作点;如实测得到空载流量特性曲线和压力增益特性曲线,直接可得到Kq,Kp,从而计算出Kc |
|
||







