|
液压伺服系统的几个重要概念 |
|||||
|
液 压 弹 簧 |
物 理 模 型 |
|
F——外力,N Ap——活塞的工作面积,m2 xp——活塞的位移,m V10,V20——活塞两腔容积V1、V2的初始值,m3 Vt——总容积,Vt=V1+V2,m3 p10,p20——活塞两腔压力p1、p2的初始值,N/m2 βe——液体的容积弹性模量,N/m2 K1,K2——两封闭容积腔产生的液压弹簧的刚度,N/m Kh——总的等效液压弹簧刚度,N/m |
||
|
物 理 概 念 |
伺服控制中,当功率滑阀处于零位时,油液被封闭在活塞腔里;由于液体具有可压缩性(压缩系数为C),若受到外力,受压缩的液体产生的液压反力犹如一根受压弹簧所产生的弹力;产生液压反力的两个封闭容腔犹如刚度为K1,K2的液压弹簧 |
||||
|
设 计 公 式 |
|
||||
|
液 压 谐 振 频 率 |
物 理 概 念 |
等效的液压弹簧-质量系统的无阻尼谐振频率称为液压谐振频率,用ωh表示;该频率是实际物理系统的极限频率 |
ωh——液压谐振频率,rad/s mt——负载及活塞的总质量,kg |
||
|
计 算 公 式 |
弹簧-质量系统 |
|
|||
|
图a阀控缸 |
|
||||
|
液 压 阻 尼 系 数 |
物 理 概 念 |
实际物理系统总是存在阻尼,对于弹簧-质量-阻尼系统,其运动具有二阶振荡特性,其动态取决于谐振频率及无因次阻尼系数 |
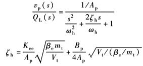
QL——阀的负载流量,m3/s υp——活塞的运动速度,m/s s——拉普拉斯算子,1/s ζh——液压阻尼系数 Kce——总的流量-压力系数,Kce=Kc+ctp,m5/(N·s) Kc——阀的流量-压力系数,m5/(N·s) ctp——缸的总泄漏系数,m5/(N·s) Bp——活塞及负载的黏性阻尼系数,N·s/m |
||
|
计 算 公 式 |
对于图a阀控缸,存在
|
||||
|
硬 量 与 软 量 |
硬 量 |
定义 |
指能够精确地确定,其值相对稳定,易于识别、计算并控制的物理量 |
||
|
实例 |
如液压弹簧刚度Kh,液压谐振频率ωh等 |
||||
|
软 量 |
定义 |
指不易确定、计算,相对模糊、变化的物理量 |
|||
|
实例 |
如阀的流量-压力系数Kc,液压阻尼系数ζh等 |
||||



