|
气马达的结构、原理和特性 |
||||
|
气马达是把压缩空气的压力能转换成机械能的又一能量转换装置,输出的是力矩和转速,驱动机构实现旋转运动。气马达按工作原理分为容积式和蜗轮式两大类。容积式气马达都是靠改变空气容积的大小和位置来工作的,按结构型式分类见下表 |
||||
|
名称 |
结构和工作原理 |
特性和特性曲线 |
||
|
叶 片 式 气 马 达 |
1—机体;2—定子;3—转子; 4,8—前、后密封圈;5—轴承; 6,7—圆柱销;9—机盖; 10~13—螺塞; 14—排气管;15、16—叶片 (1)结构 叶片式气马达主要由定子2、转子3、叶片15及16等零件组成。定子上有进、排气用的配气槽孔,转子上铣有长槽,槽内装有叶片。定子两端有密封盖,密封盖上有弧槽与两个进排气孔A、B及各叶片底部相通转子与定子偏心安装,偏心距为e。这样由转子的外表面定子的内表面、叶片及两端密封盖就形成了若干个密封工作空间 (2)工作原理 叶片式气马达与叶片式液压马达的原理相似。压缩空气由A孔输入时,分成两路:一路经定子两端密封盖的弧形槽进入叶片底部,将叶片推出,叶片就是靠此气压推力及转子转动时的离心力的综合作用而较紧密地抵在定子内壁上。压缩空气另一路经A孔进入相应的密封工作空间,在叶片15和16上,产生相反方向的转矩,但由于叶片15伸出长,作用面积大,产生的转矩大于叶片16产生的转矩,因此转子在两叶片上产生的转矩差作用下按逆时针方向旋转。做功后的气体由定子的孔C排出,剩余残气经孔B排出,若改变压缩空气输入方向,即改变转子的转向 |
图c曲线是在一定工作压力(例如0.5MPa)下作出的。在工作压力不变时,它的转速、转矩及功率均依外加负载的变化而变化。当外加负载转矩为零时,即为空转,此时转速达最大值,此时气马达的输出功率为零。当外加负载转矩等于气马达的最大转矩时,气马达停转,转速为零,此时输出功率也为零。当外加负载转矩约等于气马达最大转矩的一半 在工作压力变化时,特性曲线的各值将随压力的变化而有较大的变化 由以上可知,叶片式气马达具有软特性的特点 (1)转速与空气压力的关系 单纯就转速而言,气马达的转速只跟空气流量直接发生关系,但是流量-压力之间有着有机的联系,尤其对可压缩性的空气而言,气马达的转速可以转化为跟空气压力的关系,其关系曲线如图d所示。当空气压力降低时,转速也降低,可用下式进行概算
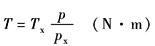
式中 n——实际供给空气压力下的转速,r/min; nx——设计空气压力下的转速,r/min; p——实际供给的气源压力,MPa; px——设计供给的空气压力,MPa (2)转矩与空气压力的关系 气马达的转矩,大体上是随空气压力的升降成比例的升降。可用下式进行概算
式中 T——实际供给空气压力下的转矩,N·m; Tx——标准空气压力下的转矩,N·m; p——实际供给的空气压力,MPa; px——设计规定的标准空气压力,MPa 转矩与空气压力的关系曲线如图e所示 (3)功率与空气压力的关系 从上述分析中,可以求出气马达的功率
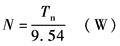
式中 Tn——转矩,N·m; n——转速,r/min 由于空气压力的变化,转矩、转速的变动而导致功率的变化如图f所示。气马达的效率
式中 N实——输出的有效功率,即实际输出功率,W; N理——理论输出功率,W |
||
|
活 塞 式 气 马 达 |
1—气管接头;2—空心螺栓; 3—进、排气阻塞;4—配气阀套; 5—配气阀;6—壳体;7—气缸; 8—活塞;9—连杆;10—曲轴; 11—平衡铁;12—连接盘; 13—排气孔盖
(1)结构和工作原理 活塞式气马达是依靠作用于气缸底部的气压推动气缸动作来实现气马达功能的。活塞式气马达一般有4~6个气缸,为达到力的平衡,气缸数目大多数为双数。气缸可配置在径向和轴向位置上,构成径向活塞式气马达和轴向活塞式气马达两种。图f是六缸径向活塞带连杆式气马达结构原理。六个气缸均匀分布在气马达壳体的圆周上,六个连杆同装在曲轴的一个曲拐上。压缩空气顺序推动各活塞,从而带动曲轴连续旋转。但是这种气缸无论如何设计都存在一定量的力矩输出脉动和速度输出脉动 如果使气马达输出轴按顺时针方向旋转时,压缩空气自A端经气管接头1、空心螺栓2、进排气阻塞3、配气阀套4的第一排气孔进入配气阀5,经壳体6上的进气斜孔进入气缸7,推动活塞8运动,通过连杆带动曲柄10旋转。此时,相对应的活塞作非工作行程或处于非工作行程末端位置,准备做功。缸内废气经壳体的斜孔回到配气阀,经配气阀套的第二排孔进入壳体,经空心螺栓及进气管接头,由B端排至操纵阀的排气孔而进入大气 平衡铁11固定在曲轴上,与连接盘12衔接,带动气阀转动,这样曲轴与配气阀同步旋转,使压缩空气进入不同的气缸内顺序推动各活塞工作 气马达反转时,压缩空气从B端进入壳体,与上述的通气路线相反。废气自A端排至操纵阀的排气孔而进入大气中 配气阀转到某一角度时,配气阀的排气口被关闭,缸内还未排净的废气由配气阀的通孔经排气孔盖13,再经排气弯头而直接排到大气中 输出前必须减速,这样在结构上的安排是使气马达曲轴带动齿轮,经两级减速后带动气马达输出轴旋转,进行工作 (2)工作特性 活塞式气马达的特性如图g所示。最大输出功率即额定功率,在功率输出最大的工况下,气马达的输出转矩为额定输出转矩,速度为额定转速 活塞式气马达主要用于低速、大转矩的场合。其启动转矩和功率都比较大,但是结构复杂、成本高、价格贵 活塞式气马达一般转速为250~1500r/min,功率为0.1~50kW |
|||
|
齿 轮 式 气 马 达 |
(1)工作原理 齿轮式气马达结构原理如图h和图i所示,p为齿轮啮合点,h为齿高,啮合点p到齿根距离分别为a和b,由于a和b都小于h,所以压缩空气作用在齿面上时,两齿轮上就分别产生了作用力pB(h-a)和pB(h-b)(p为输入空气压力,B为齿宽),使两齿轮按图示方向旋转,并将空气排到低压腔。齿轮式气马达的结构与齿轮泵基本相同,区别在于气马达要正反转,进排气口相同,内泄漏单独引出。同时,为减少启动静摩擦力,提高启动转矩,常做成固定间隙结构,但也有间隙补偿结构 (2)特点 齿轮式气马达与其他类型的气马达相比,具有体积小、重量轻、结构简单、工艺性能好、对气源要求低、耐冲击惯性小等优点。但转矩脉动较大,效率较低,启动转矩较小和低速稳定性差,在要求不高的场合应用 如果采用直齿轮,则供给的压缩空气通过齿轮时不膨胀,因此效率低。当采用人字齿轮或斜齿轮时,压缩空气膨胀60%~70%,为提高效率,要使压缩空气在气马达体内充分膨胀,气马达的容积就要大 小型气马达能达到10000r/min左右,大型气马达能达到1000r/min左右。功率能达到几十千瓦。断流率小的气马达的空气消耗量每千瓦为40~45m3/min左右 直齿轮气马达大都可以正反转动,采用人字齿轮的气马达则不能反转 |
|||






