|
输送机钢丝绳机架的静力计算 |
|
|
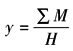
下图为悬挂有三个托辊组的钢丝绳机架。计算目的在于:确定输送带正常运行时钢丝绳所需的拉力;根据计算拉力选择钢丝绳;确定钢丝绳的预紧力。根据柔性力学的原理,在受力分析过程中可先不考虑钢丝绳的弹性变形;两点用拉力拉紧的柔线,在垂直载荷作用下,其变形量可看作是简支梁在相同载荷作用下所产生的弯矩除以绳中水平拉力,即
|
|
|
式中 H——绳中水平拉力,N; y——绳中任意点的垂度,mm; ∑M——绳上载荷按相同跨度的简支梁在该点产生的弯矩,N·mm 由于钢丝绳机架的钢丝绳跨度都不大,计算时可忽略钢丝绳的重量及因其重力而产生的挠度,设钢丝绳上托辊组的载荷(包括托辊组重量及所运物料总重所产生的重力载荷)为P(N),钢丝绳内的张力(由于钢丝绳张得紧,通常以水平拉力代替钢丝绳中的拉力)为H。则钢丝绳由于静载荷作用而允许产生的挠度与钢丝绳跨度之比为:
式中 ymax——钢丝绳允许产生的最大垂度,mm; l——钢丝绳两相邻支架的间距,mm |
|
|
令lc为托辊间距。通常,绳支架间距为托辊间距的整数倍。即l=nlc,n为每跨的托辊组数。一般规定取m=0.01~0.02。在固定式的大运量输送机中,m可以加大到0.04或更大。但此时为保证物料输送面的直线性,各托辊组的悬挂装量应做成可适当调整或有不同悬挂高度 |
|


