|
轴系的特征值问题 |
|
通常轴系支承在同一水平线上,由于转子的重力作用,未转动时,转轴发生了弯曲静变形,转动时,这种弯曲变形有可能加大。实际上当转子以ω的角速度回转时,由于不平衡质量激励,轴系只能做同步正向涡动,即圆盘相对于轴线弯曲平面的角速度(W-ω)为零,这种状态下,转轴不承受交变弯矩,轴材料内阻不起作用,轴系的运动微分方程就是轴系的弯曲振动微分方程,轴系的临界转速问题即为轴系弯曲振动的特征值问题
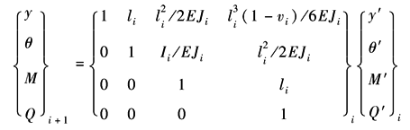
单元受力分析 为计算轴系的临界转速,首先应将轴系按前节方法转化成为质量离散化的有限单元模型。将各质量单元(圆盘)和梁(转轴)单元自左至右编号,则有mi、Ii、Ipi(i=1,2,…,n)和li、EJi、αiGAi(i=1,2,…,n-1);各支座自左至右编号,则有:Kpj、mbj、Kbj(j=1,2,…,l);支座轴颈中心编号用数组S(j)表示,对于l<n的系统,轴颈中心编号同有支座作用的质点编号是一致的,它是联系i和j的桥梁。现对第i个轴段进行分析,单元两端面的挠度y和转角θ与上图所示弯矩M和剪力Q存在下列关系:
式中
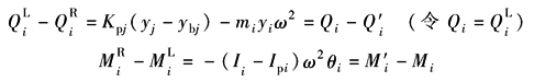
αi为与截面形状有关的因子,对于实心圆轴αi=0.886,Ai为截面积,G为切变模量 再对第i个圆盘进行分析,当轴以ω的角速度作同步正向涡动时,由上图所示的第i个圆盘得:
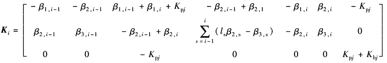
Kpj为第j个支座的油膜刚度,ybj为第j个支座质量mj的位移。为使同符号统一,将ω改为ωn,第i个单元的特征值方程为:
式中
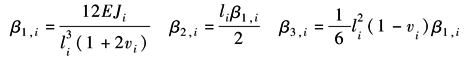
式中
如果第i个圆盘没有支承,则ybj,Kpj,Kbj,mbj均可去掉,此时KMi为6×1阶列阵,mi和Ki为2×6阶矩阵。此处υi定义参阅式(1)及说明 以上只是对i单元的分析,对其他各单元的分析可得到类似的式(2)及其相应的式(3)~式(4)。将各单元的公式进行组合,就可得到轴系的(2n+1)个自由度的特征值方程,求解之,就得到ω2n的(2n+1)个解。特征值ω2n并不完全为正实数,除去负数,只有ω2n为正实数的特征值的平方根才是各阶同步正向涡动的临界角速度。由式(1)换算为临界转速 以上只可能用计算机求解。运用矩阵迭代法、QR法等求解(已有现成的软件) |






