|
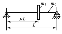
两支承单盘转子的临界转速 |
||
|
支承形式 |
不计轴的质量m0 |
考虑轴的质量m0 |
|
|
|
|
|
|
|
|
|
|
|
|
|
|
|
|
|
|
|
|
|
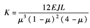
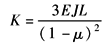
注:m1—圆盘质量,kg;m0—轴的质量,kg;E—轴材料弹性模量,Pa;J—轴的截面惯性矩,m4;λ1—支座形式系数,见表两支承轴的临界转速;β—集中质量m1转换为分布质量的折算系数;μ—轴段长与轴全长L之比的比例系数。 |
||









