|
间隙非线性弹簧设计 |
|
|
带有间隙分段线性的非线性弹簧在振动机中的配置如下图所示。根据振动机要求,可按主振系统线性刚度计算公式求出 |
|
|
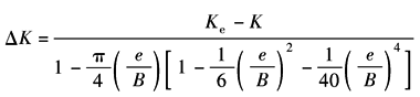
其等效刚度Ke。然后按下式求得非线性弹簧刚度:
式中 K——主振弹簧中线性弹簧刚度,K=ΔK,只要主振系统允许浮动,K可取为零;
|
带有间隙非线性弹簧的惯性共振式振动机力学模型 |
|
间隙非线性弹簧设计 |
|
|
带有间隙分段线性的非线性弹簧在振动机中的配置如下图所示。根据振动机要求,可按主振系统线性刚度计算公式求出 |
|
|
其等效刚度Ke。然后按下式求得非线性弹簧刚度:
式中 K——主振弹簧中线性弹簧刚度,K=ΔK,只要主振系统允许浮动,K可取为零;
|
带有间隙非线性弹簧的惯性共振式振动机力学模型 |