|
产生单向激振力的双轴惯性激振器 |
|
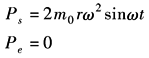
图a所示为产生单向激振力的双轴惯性激振器,质量为m0的两偏心块以ω的角速度同步反向回转,如果初相角φ对称s轴,则沿s方向和e方向的激振力为:
单向激振力Ps作用于图b所示的振动机机体的质心,将使机体产生沿s方向的直线振动。因阻尼系数C=mω,隔振弹簧沿s方向刚度Ks=mω2,偏心质量m0=m,在忽略阻尼、隔振弹簧和偏心块质量对振动影响的条件下,机体的振幅:
且
使两偏心块同步反向回转的方法:①用传动比为1的一对外啮合齿轮强迫实现,机体振动的直线性很好;②激振器的两轴分别由两台同型号的异步电动机带动,之间无任何机械联系,由力学的质心守恒原理使两轴自动保持反向同步回转,结构简单,但由于两台电机驱动力矩的差异和两激振器回转摩擦阻力矩的不同,振动机的运动轨迹可能出现轻微的椭圆 |



