|
二次缓冲器的设计 |
||||
|
项目 |
基础运动冲击 |
外力冲击 |
||
|
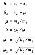
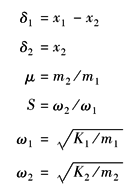
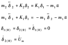
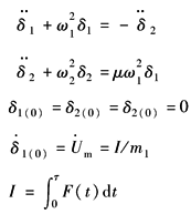
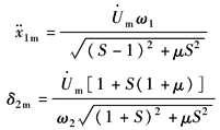
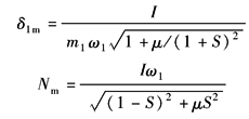
力学模型及运动方程(暂忽略阻尼) |
|
|
|
|
|
|
|
|||
|
防冲效应 |
|
|
||
|
参数设计 |
(1)给定m1、K1(一次缓冲器设计确定),减小K2时,能使 (2)给定m1、K1、K2,增加m2(μ随着增加)时,使 |
|||
|
阻尼比 |
|
|||








