|
橡胶隔振器刚度计算 |
|||
|
类别 |
简图 |
刚度 |
计算说明 |
|
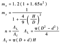
圆 柱 形 |
|
|
|
|
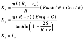
环 柱 形 |
|
|
|
|
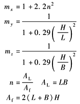
矩 形 |
|
|
|
|
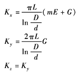
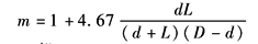
圆 柱 形 |
|
|
一般m=2~5 (硬度高,尺寸大者取大值) |
|
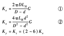
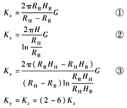
圆 筒 形 |
|
|
① LR=常数,截面等强度设计,适宜于承受轴向载荷 ② LR2=常数,适宜承受扭转载荷,此时剪切应力为常数 |
|
圆 锥 形 |
|
|
|
|
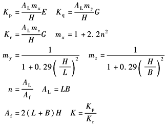
剪 切 型 |
|
|
① RH=常数,截面等强度 ② H=常数,截面等高度 ③ RH≠常数,H≠常数,截面不等,高度不等 |
|
复 合 型 |
|
|
|
|
注:1.静刚度设计中,有三个独立尺寸,可根据具体安装情况,先假设两个尺寸,求出第三个尺寸,然后用设计准则进行验算,若不满足设计准则,应重新假定尺寸,再进行计算,直至满足设计准则中的条件为止。 2.表中的E、G为橡胶材料的静态弹性模量,可按表橡胶材料的主要性能参数给出的范围或表橡胶材料的主要性能参数中图1选定,计算所得刚度为静刚度,乘以动静比d即为隔振器动刚度。 3.表中计算的刚度为15℃情况下的刚度,当环境温度偏差大时,应用温度影响系数修正。 |
|||





















