|
圆柱螺旋弹簧的刚度 |
|
圆柱螺旋弹簧同时受垂直载荷和水平载荷作用产生如图1所示的变形,其垂直方向刚度计算公式为:
图1 圆柱螺旋弹簧在垂直和水平方向的变形
式中 Fx——垂直方向载荷,N; δx——由载荷Fx所引起的垂直方向变形量,m; G——弹簧钢的切变模量,一般可取G=8×1010N/m2; d——弹簧的钢丝直径,m; D——弹簧中径,m; n——弹簧的有效圈数 当弹簧钢的弹性模量E=2.1×1011N/m2、切变模量G=8×1010N/m2时,弹簧的水平刚度为:
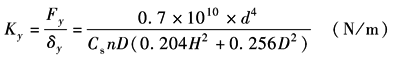
式中 Fy——水平方向载荷,N; δy——由载荷Fy所引起的水平方向变形量,m; Cs——考虑垂直方向载荷影响的修正系数,其值取决于 H——弹簧的工作高度,m,H=H0-δs; H0——弹簧的自由高度,m; δs——弹簧的静载变形量,m 比较式(1)及式(2)得到刚度的比值关系为:
当G=8×104N/mm2时,
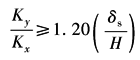
为了使弹簧所支承的机械设备具有足够的稳定性,弹簧的水平刚度对垂直刚度的比值应满足下式:
图2 修正系数
图3 刚度比 |











