|
非线性系统的物理性质 |
||||||
|
在线性系统中,由于有阻尼存在,自由振动总是被衰减掉,只有在干扰力作用下有定常的周期解;而在非线性系统中,如自激振动系统,在有阻尼及无干扰力的情况下,也有定常的周期振动 非线性振动与线性振动不同的特点有如下几个方面(其特性曲线与说明见表1) 1)在线性系统中,固有频率和起始条件、振幅无关;而在非线性系统中,固有频率则和振幅、相位以及初始条件有关。如表1中的第2项 2)幅频曲线出现拐点,受迫振动有跳跃和滞后现象,表中第3项恢复力为硬特性的非线性系统受简谐激振力作用时的响应曲线,第4项恢复力为软特性的响应曲线 3)在非线性系统中,对应于平衡状态和周期振动的定常解一般有数个,必须研究解的稳定性问题,才能决定各个解的特性,如第5项 4)线性系统中的叠加原理对非线性系统不适用 5)在线性系统中,强迫振动的频率和干扰力的频率相同;而在非线性系统中,在简谐干扰力作用下,其定常强迫振动解中,除有和干扰力同频的成分外,还有成倍数的频率成分存在 多个简谐激振力作用下的受迫振动有组合频率的响应,出现组合共振或亚组合共振,如第7项 6)频率俘获现象 7)广泛存在混沌现象。混沌是在非线性振动系统上有确定的激励作用而产生的非周期解 8)非理想系统、自同步系统等不能线性化,必须研究非线性微分方程才能对其振动规律进行分析 |
||||||
|
表1 非线性系统的物理性质 |
||||||
|
序号 |
物理性质 |
特性曲线(公式) |
说 明 |
|||
|
1 |
恢复力为非线性时,频率和振幅间的关系 |
|
第3、4项的拐曲可参照 |
|||
|
2 |
固有频率是振幅的函数 |
弹性恢复力:
系统固有角频率:
|
系统的固有角频率将随着振幅A的增大而增大(硬特性)或减小(软特性) 非线性系统的运动微分方程:
m——质量,kg;K,a,b——分别为位移的一、三、五次方项的系数;A——位移幅值 |
|||
|
3 |
幅频响应曲线发生拐曲 |
|
硬式非线性系统幅频响应曲线的峰部向右拐 软式非线性系统幅频响应曲线的峰部向左拐,见序号1 |
|||
|
4 |
受迫振动的跳跃和滞后现象 |
|
当激振力幅值不变时,缓慢改变激振频率,则受迫振动的幅值A将发生如图所示的变化。当ω从0开始增大时,则振幅将沿afb增大,到b点若ω再增大,则A突然下降(或增大)到c,这种振幅的突然变化称为跳跃现象,然后若ω继续增大,则A沿cd减小。反之,当ω从高向低变化时,A将沿dc方向增大,到达c点并不发生跳跃,而是继续沿ce方向增大,到e点,若ω再变小,则振幅又一次出现跳跃现象,这种到c不发生跳跃,而到e才发生跳跃的现象,称为滞后现象。从e点跳跃到f点后,振幅A将沿fa方向减小 除振幅有跳跃现象外,相位也有跳跃现象。下面是非线性系统的相频响应曲线(硬特性)
|
|||
|
5 |
稳定区和不稳定区 |
|
在非线性系统幅频响应曲线的滞后环(上面两图的bcef)内,即两次跳跃之间,对应同一频率,有三个大小不同的幅值,也就是对应同一频率有三个解,其中对应be段上的解,无法用试验方法获取,该解就是不稳定的。多条幅频响应曲线对应的这一区域称为不稳定区。正因为如此,就需要对多值解的稳定性进行判别 |
|||
|
6 |
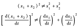
线性叠加原理不再适用 |
|
|
|||
|
7 |
简谐激振力作用下的受迫振动有组合频率响应 |
非线性系统在Q1sinω1t和Q2sinω2t作用下,不仅会出现角频率为ω1和ω2的受迫振动,而且还可能出现频率为mω1±nω2(m、n为整数)的受迫振动 |
非线性系统在Q1sinω1t作用下,不仅会出现角频率为ω1的受迫振动,而且还可能出现角频率等于ω1/n的超谐波和角频率等于nω1的次谐波振动。当ω=ωn时,除谐波共振外,还可能有超谐波共振和次谐波共振 |
|||
|
8 |
频率俘获现象 |
非线性系统在受到接近于固有角频率ωn的频率为ω的简谐激振力作用下,不会出现拍振现象,而是出现不同于ωn和ω的单一频率的同步简谐振动,这就是频率俘获现象。产生频率俘获现象的频带为俘获带 |
||||
|
几个非线性系统的响应曲线见表2 |
||||||
|
表2 非线性系统的响应曲线 |
||||||
|
恢 复 力 |
响 应 曲 线 |
恢 复 力 |
响 应 曲 线 |
|||
|
|
|
|
小于临界阻尼,非线性特性较弱 |
|||
|
|
大于临界阻尼 |
|
小于临界阻尼,非线性较强 |
|||
|
|
|
|
|
|||



















