|
制动电动机的选择及计算式(JB/T 6456—1992) |
|
(1)允许每小时启动次数
式中 Z0—— 电动机空载每小时启动次数,次/h; KP—— 查图(1);
TA—— 制动电动机启动过程中平均阻力转矩,N·m; Tst—— 制动电动机的堵转转矩,N·m; Tmax—— 制动电动机的最大转矩,N·m。
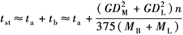
图(1) P—负载功率,kW;PN—制动电动机额定功率,kW; FC—负载持续率 根据功率与转速求出额定转矩后,就可求出Tst和Tmax。 (2)停止时间
式中 tst—— 全制动时间,s; ta—— 释放时间,s; tb—— 摩擦制动时间,s; n—— 制动电动机额定转速,r/min; MB—— 制动电动机制动转矩(见表制动器技术数据),N·m; ML—— 折算到电动机轴上的负载阻力转矩,N·m。 (3)选用举例 已知制动电动机型号YEJ112M-4;负载功率3.2kW;负载持续率25%;启动次数200次/h;负载折到电动机轴上的飞轮矩0.25N·m2;启动阻力转矩25N·m。 解 ① 允许每小时启动次数计算: 查性能表Z0=1000次/h。 由性能表查到转动惯量JM为0.04969kg·m2,换算成飞轮矩为
由性能表可以算出TH=58.4N·m,则
P/PN=3.2/4=0.8,由FC=25%,查图(1),KP=0.56。 ZL=1000×0.886×0.57×0.56=283次/h>200次/h,满足要求。 ② 停止时间计算: 快速全制动时间为
慢速全制动时间为
选用的制动电动机满足实际要求。 |



