|
电动机功率计算与选用举例 |
|||||||||||||||||||||||||||||||||||||||||
|
例1 一台与电动机直接连接的低压离心式水泵,流量Q=50m3/h,总扬程H=15m,转速n=1450r/min,泵的效率η=0.4,周围环境温度不超过30℃,取余量系数 K=1,传动机构效率ηc=1,试选择电动机。 解 泵类机械的负载功率为
将已知数据Q=50m3/h=0.0139m3/s、H=15m、η=0.4、ηc=1、K=1(直接连接)代入,则
对于水泵,应采用封闭扇冷式Y系列电动机,由于n=1450r/min,应选四极电动机。查产品目录,下列Y系列三相异步电动机同步转速为1500r/min(四极):
按Pe≥P,应选Y132S-4型电动机,Pe=5.5kW,ne=1440r/min(比所需转速略低,但实际负载也略轻,可用)。 当环境温度θ0=30℃时,电动机额定功率Pe应予修正。取不变损耗与额定可变损耗之比α=0.6,最高允许温度θm=120℃(Y型电动机用E级绝缘),额定负载时的稳态温升 τwe=75℃,则
即电动机功率可提高10%。这时,型号低一挡的电动机是Y112M-4,Pe=4.0kW,修正后P=1.1×4.0=4.4kW,仍低于5.1kW。所以仍应采用原选的Y132S-4型电动机。 对于直流电动机α=1~1.5;冶金专用电动机α=0.5~0.9;笼型电动机α=0. 5~0.7;冶金专用中小型电动机α=0.45~0.6;冶金专用大型绕线电动机α=0.9~1.0。 |
|||||||||||||||||||||||||||||||||||||||||
|
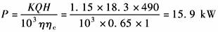
例2 求风量Q1=900m3/min、有效全压H=490Pa的鼓风机传动电动机的功率。当地的大气压p1=93300Pa,最高空气温度t1=35℃,风机效率取0.65,余量系数取1.15。 解 (1)折算到标准大气压和热力学温度下的计算送风量
(2)直接连接的电动机所需功率
|
|||||||||||||||||||||||||||||||||||||||||
|
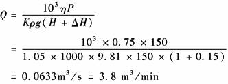
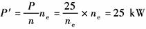
例3 将涌水量为22m3/min的矿井地下涌水,用水泵抽到地面上,其扬程为150m,需用几台150kW电动机传动的水泵?损失水头按实际扬程的15%,泵的效率按0.75,直接传动。 解 每一台抽水机的抽水量为
需用抽水机台数为
实际需用6台。 |
|||||||||||||||||||||||||||||||||||||||||
|
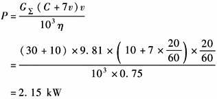
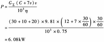
例4 某车间的一般用途桥式吊钩起重机,额定起重量30t,提升速度3m/min,横行速度20m/min,走行速度30m/min,求提升、横行、走行用电动机的功率。已知横行小车全重10t,桥重20t,横行阻力系数C=10N/kN,走行阻力系数C=12N/kN,机械传动效率取0.75。 解 (1)各机构所需功率 提升机构 横行机构 走行机构 (2)各机构工作类型以及FC 对应值 根据起重机工作类型和电动机FC 值对应的关系(轻型FC =15%,中型FC =25%,重型FC =40%,特重型FC =60%),此起重机为一般吊钩起重机,提升、横行、行走的各电动机均属中型工作类型,均为FC =25%。 (3)电动机功率选择 确定减速比后查YZR型绕线电动机产品目录,选用如下:提升电动机YZR225M-8 26kW;横行电动机YZR132M1-6 2.5kW;走行电动机YZR160M1-6 6.3kW。 |
|||||||||||||||||||||||||||||||||||||||||
|
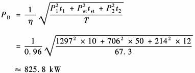
例5 某竖井提升机,卷筒直径4m,载重6t,箕斗重5t,提升速度720m/min,加速时间t1=10s,减速时间t2=12s,稳速提升时间50s,停歇时间10s,提升机效率0.96,钢绳重量、摩擦阻力、空气阻力等忽略不计,求提升机所需电动机功率。选用高压绕线型开启式电动机。折算到卷筒轴上的总转动惯量100000kg·m2。 解 (1)转矩计算 加速度
角速度(稳速时) 角加速度
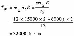
惯性部分加速转矩 Tα1=Jα =100000×0.6=60000 N·m 惯性部分减速转矩 Tβ1=Jβ=100000×0.5=50000 N·m 提升全载重加速转矩 提升全载重减速转矩 提升不平衡负载所需转矩 T3=G∑R=6000×9.81×2=117720 N·m 加速过程中转矩 T1=Tα1+Tα2+T3 =60000+38400+117720=216120 N·m 减速过程中转矩 T2=T3-Tβ1-Tβ2 =117720-50000-32000=35720 N·m 稳速过程中转矩 Tst=T3=117720 N·m (2)功率计算 加速过程中所需功率 减速过程中所需功率 稳速过程中所需功率 周期 T =Cαt1+tst+Cαt2+Cβt0 =0.65×10+50+0.65×12+0.3×10 =67.3 s 由于加、减速过程时间较短,电动机基本上在额定电压、额定转速下运行,故可以使用等效功率法计算需要的电动机功率。
|
|||||||||||||||||||||||||||||||||||||||||
|
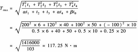
例6 某机械采用四极绕线型异步电动机拖动。已知其典型转矩曲线共分四段,各段的转矩分别为 200N·m、120N·m、100N·m、-100N·m,时间分别为6s、40s、50s、10s,其中第一段是启动,第四段是制动,制动完毕停歇20s再重复周期性地工作。试选择合适的电动机。 解 对于绕线型电动机,采用电气启动和制动,可以认为转矩始终近似地与电流成正比,因此等效转矩法能够适用。 考虑到启、制动和停歇时间散热条件的恶化,计算等效转矩,并取α=0.5,β=0.25(α、β的取值因电动机而异,对于直流电动机一般取α=0.75,β=0.5;对于异步电动机一般取α=0.5,β=0.25)。
在YR系列小型四极绕线异步电动机产品目录中给出了下列数据,并计算出额定转矩:
显然,应选择YR180M-4型18.5kW绕线电动机。 再校验其短时过载能力: Tmax=λTTe=2.0×123.90=247.8N·m(工程运用中,应考虑由于电动机端电压降低引起的λT值的平方降低) 各段转矩都能通过。 本例中,电动机转矩曲线已经给出,因此可以直接计算等效转矩,从而选择电动机功率。在一般情况下,只知道负载转矩曲线,必须先预选电动机,才能计算出电动机转矩曲线,问题就要复杂得多。 |
|||||||||||||||||||||||||||||||||||||||||
|
例7 图(1)是具有平衡尾绳的矿井卷扬机传动示意图,图中电动机
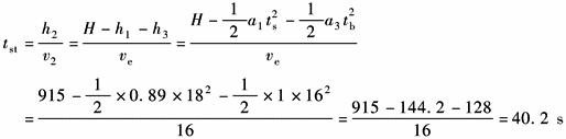
M 直接与摩擦轮连接,当它们旋转时,靠摩擦力带动钢绳和运载矿石车的罐笼,尾绳系在左右两罐笼下面,以平衡罐笼上面一段钢绳的重量。已知数据如下:井深H=915m;运载重量G1=58800N;空罐笼重量G3=77150N;钢绳每米重量g4=106N/m;罐笼与导轨的摩擦阻力使负载增大20%;摩擦轮直径d1=6.44m;导轮直径d2=5m;额定提升速度ve=16m/s;提升加速度a1=0.89m/s2(加速段),a3=1m/s2(减速段);摩擦轮飞轮矩 解 (1)计算负载功率 由于两个罐笼和钢绳与尾绳的重量自相平衡,计算负载功率时,只需考虑运载的重量和摩擦力即可,故负载力为 G=(1+0.2)G1=1.2×58800=70560 N 负载功率为
(2)预选电动机 考虑过渡过程中转矩的增大,取额定功率Pe≥1.2Pz=1.2×1129=1355 kW。 由于容量较大,为了减小总惯量,采用双电动机拖动。选用额定功率700kW、额定转速47.5r/min、飞轮矩1065000N·m2的电动机,则电动机总飞轮矩 (3)计算电动机负载如图(2)所示,n=f
(t)是转速曲线。在启动时间里, |
|||||||||||||||||||||||||||||||||||||||||
|
图 (1) |
图 (2) ts—启动时间;tst—恒速提升时间; tb—制动时间;t0—停歇卸载及装载时间 |
||||||||||||||||||||||||||||||||||||||||
|
负载转矩为
动态转矩为 折算到电动机轴上的旋转运动部分飞轮矩为
直线运动部分总重量为 Gz=G1+2G3+g4(2H+90)=58800+2×77150+106×(2×915+90)=416620 N 值得注意的是:计算飞轮矩时,互相平衡部分的惯量都应加在一起,而不会抵消;同时,导轨上的摩擦力不应算到运动惯量中去。 直线运动部分飞轮矩为
因此,总飞轮矩为
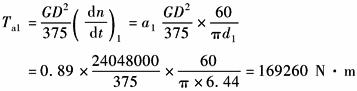
加速转矩为
减速转矩为
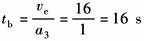
负载图上各段转矩为 Ts=Tz+Ta1=227200+169260=396460 N·m Tst=Tz=227200 N·m Tb=Tz-Ta3=227200-190180=37020 N·m 各段时间为
停歇时间为 t0=tz-ts-tst-tb=89.2-18-40.2-16=15s 根据以上数据绘出电动机负载图,如图(3)所示。
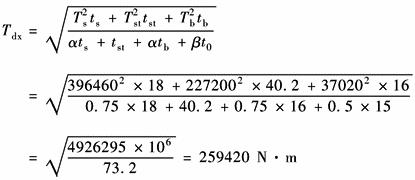
图 (3) (4)温升校验 散热恶化系数α=0.75,β=0.5。 等效转矩为
电动机额定转矩为
因此,所选电动机温升通过。 (5)过载能力校验 考虑电动机过载能力为1.5Te。 负载图中最大转矩是启动转矩Ts=396460 N·m, 因此,所选电动机过载能力通过。 由(4)、(5)两项计算可以看出,温升及过载能力都能通过,而且没有浪费,因此所选电动机是合适的。 |
|||||||||||||||||||||||||||||||||||||||||
|
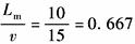
例8 某大型车床刀架的快速移动机构,其移动部件重量G=5300N,移动速度v=15m/min,最大移动距离Lm=10m,传动效率ηc=0.1,动摩擦因数μ=0.1,静摩擦因数μ0=0.2,传动机构的传动比j=100r/m。试选择电动机。 解 刀架移动时,电动机的负载功率为
最长工作时间为 n=jv=100×15=1500 r/min 故应选四极笼式电动机。又由于机床上有润滑液,为防止润滑液流入电动机,应采用封闭式。 由产品目录节录,Y系列四极笼型电动机额定数据如下:
按过载能力选择电动机:
式中,系数0.9是考虑交流电网波动10%;λT为交流电动机的过载倍数。可选Y90S-4,Pe=1.1kW。 由于刀架电动机应在静摩擦情况下带负载启动,需校验启动能力。 启动时负载转矩 所选电动机的启动转矩 式中,KT为启动转矩倍数,KT=1.8。Tq<Tzq,启动能力不能通过。 为了提高启动转矩,改选Y90L-4型1.5kW电动机,其启动转矩为
启动能力通过了。但是,如果考虑电网电压降落10%,Tq将降低为0.81Tq=0.81×18.42=14.92N·m,又低于Tzq了,应再选大一号的Y100L1-4型2.2kW电动机。 |
|||||||||||||||||||||||||||||||||||||||||
|
例9 已知一台断续工作电动机的功率曲线如图4所示。预选电动机:YZR200L-6型他扇冷式绕线电动机,FC=25%,Pe=18.5kW,ne=701r/min,λT=3。试校验电动机的温升和过载能力。 |
|||||||||||||||||||||||||||||||||||||||||
|
解 由图(4)可知,在工作时间tg以内,功率是变化的,因此需计算其等效功率Prms。但在第一阶段中,转速n 是线性变化的,需修正这段的功率(假定在启动过程中cosφ2不变):
由于电动机是他扇冷式,在启动和制动过程中散热能力不变,因此
|
图(4) |
||||||||||||||||||||||||||||||||||||||||
|
又由于制动是靠机械抱闸,在制动过程中电动机断电,制动时间应算在停歇时间之内,所以实际负载持续率为
换算到额定FC=25%时的等效功率应为
Pe>P,因此温升可通过。 实际过载系数为 |
|||||||||||||||||||||||||||||||||||||||||




















