|
电动机的机械特性 |
|||||
|
类型 |
特 性 公 式 |
符 号 |
特 性 曲 线 |
性 能 |
|
|
交 流 电 动 机 |
异 步 电 动 机 |
|
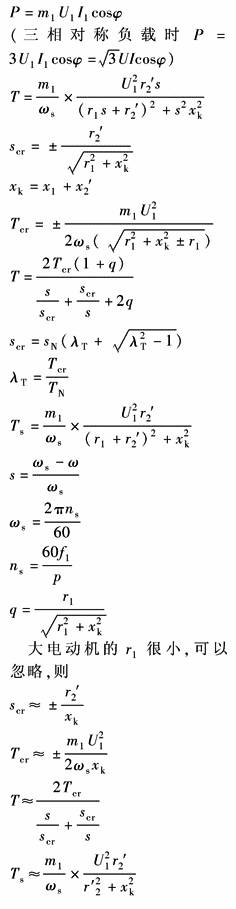
P —— 输入功率,W m1—— 相数 U1—— 定子相电压,V U—— 线电压,V I1—— 定子相电流,A I —— 线电流,A cosφ—— 功率因数 T —— 电磁转矩,N·m r1—— 定子相电阻,Ω r2′—— 折算到定子侧的转子相电阻,Ω x1—— 定子电抗,Ω x2′—— 折算到定子侧的转子电抗,Ω xk—— 短路电抗,Ω s —— 转差率 sN—— 额定转差率 scr—— 临界转差率 λT—— 转矩过载倍数 TN—— 额定转矩,N·m Tcr—— 临界转矩,N·m Ts—— 启动转矩,N·m ω —— 角速度,rad/s ωs—— 同步角速度,rad/s ns—— 同步转速,r/min f1—— 供电频率,Hz p —— 磁极对数 q —— 系数 |
|
(1)笼型电动机 简单,耐用,可靠,易维护,价格低,特性硬,但启动和调速性能差,轻载时功率因数低。一般无调速要求的机械广泛采用。在可变频率电源供电下可平滑调速。变极数多速电动机为有(或多)级变速调节,且体积大 (2)绕线型电动机 因有滑环,比笼型电动机维护麻烦,价格也稍贵,转子串电阻的特性属软特性,随负载转矩的增加,电动机转速显著下降,但其启动转矩大,启动时功率因数高,且可进行小范围的非连续速度调节,控制设备简单,故仍使用于各种需简单调速的生产机械,如提升机、起重机及轧钢机械等,或电网容量小、启动次数多的机械 |
|
交流电动机 |
同 步 电 动 机 |
|
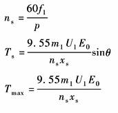
E0—— 空载电势,V θ —— 电势与电压的相角差 Ts—— 同步转矩,N·m xs—— 同步电抗,Ω |
|
负载转矩在允许限度内变化时,其转速保持恒定,功率因数可调节。价格贵,一般只在不需调速的高压、低速、大容量的机械上采用,能提高功率因数。变频器供电可平滑调速,用于大型需调速的机械,如轧钢机、提升机、船用主传动等机械 |
|
直 流 电 动 机 |
|
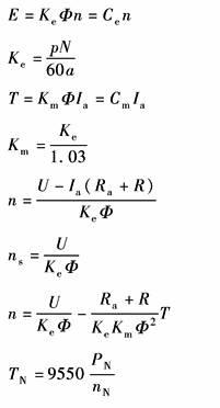
E —— 反电势,V Φ —— 磁通,Wb Ke—— 电动机结构常数 Km—— 电动机结构常数 N —— 电枢绕组的导体总数 a —— 电枢绕组的支路对数 Ia—— 电枢电流,A U —— 电枢电压,V T —— 电磁转矩,N·m Ra—— 电枢电阻,Ω R —— 电枢回路附加电阻,Ω TN—— 额定转矩,N·m Tl—— 负载转矩,N·m PN—— 额定功率,kW Ce—— 电动机电势常数 Cm—— 电动机转矩常数 |
|
调速性能好,范围宽,在电子装置控制下,能充分适应各种机械负载特性的需要,但其价格贵,维护复杂 串励电动机的特点是启动转矩大、过载能力大、特性软,适用于电力牵引机械和起重机等 复励电动机的启动转矩和过载能力比并励电动机大,但调速范围稍窄。接成积复励时,适用于启动转矩很大、负载具有强烈变化的设备 |
|






