|
传动原理 |
||
|
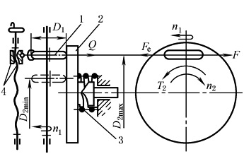
机械无级变速器(传动)由传动机构、加压装置和调速机构三部分组成。图1所示的摩擦(牵引)传动是利用传动机 |
||
|
图1 机械无级变速传动的原理 1,2—传动机构;3—加压装置;4—调速机构 |
构1和2间的压紧力Q产生的摩擦(牵引)力F=μQ来传递动力的。为防止打滑应使有效圆周力Fe小于摩擦副所能提供的最大摩擦力F,为此,应增大压紧力和摩擦因数。压紧力由加压装置3提供;调速机构4用来调节传动件间的尺寸(角度)比例关系,以实现无级变速。将无润滑油的干式无级变速传动称为摩擦式无级变速传动;而将有润滑的湿式无级变速传动称为牵引式无级变速传动 当图1中D1、D2固定不变时,则为定传动比摩擦(牵引)传动。当D1或D2可调时,则为无级变速传动。当主动轮D1由D2min位置移到D2max位置,其传动比分别为
|
|
|
滑动率ε为
式中,D1、n01、n1分别为主动轮的工作直径和空载、负载时的转速;D2、n02、n2分别为从动轮的工作直径和空载、负载时的转速。滑动率ε说明变速器在受载前后转速的损失情况,是重要的质量指标之一。它与负载大小、输出转速及传动轮的材质与表面粗糙度和硬度、润滑条件、传动系统的刚度等有关。具体值应由实验测定。对于定轴式和动轴(行星)式机械无级变速器ε应分别控制在3%~5%和7%~10%以下;对于定传动比摩擦传动则应控制在0.5%~1%(金属轮)和5%~10%(非金属轮)以下 变(调)速比Rb是变速器的一个重要性能指标,它是变速器输出轴的最高转速n2max与最低转速n2min的比值,即
变速范围是最高与最低输出转速值的范围,即n2min~n2max 根据以上定义,对无中间轮的变速器,当改变输入轮工作半径R1x调速时有
当改变输出轮工作半径R2x调速时有
对有中间轮的两级变速器,当只改变输入、输出轮的工作半径R1x和R2x进行调速时有
当只改变中间轮输入、输出侧工作半径r1x、r2x进行调速时有
如R1max=R2max、R1min=R2min或r1max=r2max、r1min=r2min,则有中间轮的两级变速器满足imaximin=1的条件,称这种变速器为对称调速型变速器,在外形尺寸相等的情况下,它比其他变速器具有较大的变速比,且主、从动轮的外形尺寸相同,便于加工。其缺点是不适用于只要求降(升)速变速的场合。对称调速型变速器的输入轴转速n1与输出轴的最低、最高输出转速必需严格满足式(1-3)的条件:
变速比、传动比及尺寸间有如下关系:或 或 在进行行星(动轴)无级变速器的运动学计算时,常用到式(1-5)、式(1-6),其中摩擦轮工作半径是可以调节的。对于变速器中各轮轴线均平行的变速器,其各轮的转速可用转化机构的概念和公式来求解,其基本公式为
式中,icab是轮系中任意两轮a、b对行星架c的相对传动比;na、nb、nc分别为构件a、b、c的转速;m为外接传动次数。icab的具体表达式视轮系具体结构而定 在求解行星轮系运动学问题时,式(1-6)在具体计算中很有用
对于各轮轴线并非全平行的行星无级变速器,其运动学问题的求解一般不能用转化机构法,而需要用角速度矢量分析法。以基本行星轮系为基础构成的行星无级变速器及封闭行星无级变速器,由两个以上的基本行星轮系复合而成,因而应按“分清轮系,各立方程,找出联系,联立求解”的思路进行求解 带、链式无级变速器的原理基本同上,但采用了带、链等中间挠性件;一般为对称调速型 脉动无级变速器是先由曲柄摇杆类机构将输入轴的旋转运动转换成摇杆的往复摆动,再经单向超越离合器把摇杆的摆动转换为输出轴的单向脉动性转动。用调速机构来改变连杆机构中某一杆的长度,以形成构件间新的尺寸比例关系,使摇杆获得不同的摆角而实现无级变速。为了保持输出转速的连续和减小输出速度的脉动性,常采用多相连杆机构并列使用的结构。其运动简图见表类型、特性和应用示例中的第26、27项 一台无级变速器是按给定的输入参数(T1、n1或P1)和输出参数(T2、n2min~n2max或P2)进行设计的。其最大输出转 |
||
|
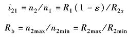
图2 封闭行星无级变速器框图 |
矩T2和最大输出功率P2同时受限于传动构件的机械强度和系统的散热能力(也称热功率)。当变速器输入、输出参数与电机、工作机的输出、输入参数不匹配时,则应在变速器的相应侧加装减速器,从而形成各种派生的减变速器 为了扩大整个变速系统的变速比,或扩大传动功率和为缩小变速比以实现精密调速等目的,可用无级变速器P作为封闭机构将一个差动轮系X的三个基本构件(输入轴、输出轴及转臂)中的两个构件封闭而成为如图2所示的封闭行星减变速器。当封闭机构(无级变速器)P的两根外伸轴将差动轮系X的非输出的两根外伸轴封闭时,所构成的变速系统定义为PX型(图2a);而当封闭机构P的两根外伸轴将差动轮系X的两根非输入外伸轴封闭时,所构成的变速系统则称为XP型(图2b) |
|
|
设封闭机构(变速器)的传动比为ip,差动轮系中被封闭两轴相对于未被封闭轴的相对运动传动比为ier。由于封闭组合的多样性,新组成的系统的变速比R的大小、有无封闭功率将取决于封闭组合形式及ip、ier的大小。按ip与ier的不同组合可获得三类情况 ① 扩大调速比型:R>Rp(变速器调速比) ② 过零调速型:R<0 ③ 精密调速型:Rp>R>0 分析指出:前两种有较大的封闭功率存在,不宜作为大功率变速器,而第三种系统中无封闭功率,但系统的变速比小于封闭机构者,因而是精密调速型,它可以实现大功率变速,常称为控制式封闭行星无级变速器,意即少量的功率流经被变速器所封闭的路径,变速器主要起调速控制作用,而大量的功率流过差动轮系中未被封闭的路径。控制式封闭行星无级变速器是实现大功率变速传动的重要途径。 |
||










