|
液压缓冲器 |
||||||||||||||||||||||
|
概 述 |
液压缓冲器用于吸收冲击动能,并减小撞击时产生的振动和噪声的液压组件。液压缓冲不需要外部供油系统,之所以称液压组件是因为其内部储有液压油,当外部有一个冲击能(某质量物体以一定的速度)作用时,液压油受挤压并通过节流流入储能油腔起到缓冲功能。液压缓冲器在气动驱动中地位越来越重要,它不再仅仅充当普通气缸在缓冲能力不足时的缓冲辅助装置,更在开发导向驱动装置中应用广泛。对于带导轨的导向驱动装置而言,由于导轨的导向驱动装置结构极其紧凑,很少再能在驱动活塞空间里设有缓冲的物理空间尺寸,因此,当驱动器承载且运动速度高时,驱动器运动终点的缓冲往往由液压缓冲器来承担。总之液压缓冲器在提高生产效率、延长机械寿命、简化机械设计、降低维护成本、降低振动噪声等方面应用广泛 |
|||||||||||||||||||||
|
工 作 原 理 |
如图a所示,当液压缓冲器的活塞杆端部受到运动物体撞击时,活塞杆内移(向右运动),迫使活塞底部腔室的液压油压力骤升,高压油通过活塞的锥形内孔、固定节流小孔高速喷入活塞左边的蓄油腔室,使大部分动能通过液压油转为压力能,然后转为热能,由液压缓冲器金属外壳逸散至大气,随着活塞杆继续内移,自调缓冲针阀将活塞内孔越关越小,高压油只能通过活塞固定节流小孔喷入活塞左边的蓄油腔室,直至活塞平稳位移至其行程的终端(注意:不要使液压缓冲器内的活塞运动至缓冲器底端盖上)。当外力撤销后,蓄油腔室内的压力油及弹簧力迫使活塞杆再次伸出,活塞底部腔室扩张产生负压,蓄油腔室又返至活塞底部腔室。由于活塞内的锥形内孔及自调缓冲针阀在关闭过程呈压力线性递增过程,使液压缓冲器的制动力如图b所示 |
|||||||||||||||||||||
|
液压缓冲器主要性能技术参数是每个行程中最大的缓冲能量(最大吸收能),考虑到液压缓冲器在工作时吸收动能转换成热量,该热量必须得以释放(降温),不能仅仅考虑每次行程能吸收的最大动能,还有一个最高使用频率的参数和每小时最大的缓冲能量参数,通常液压缓冲器在性能上的技术参数还须表明其承受最大冲击力(最大终端制动力)、最大耐冲击速度和复位时间(≤0.2s或≤0.4s)。根据上述主要参数数据及实际工况缓冲位置和尺寸,选择一个或数个液压缓冲器 |
||||||||||||||||||||||
|
主 要 技 术 参 数 |
FESTO自调式液压缓冲器YSR系列技术参数 |
活塞直径f /mm |
5 |
7 |
8 |
10 |
12 |
16 |
20 |
25 |
32 |
|||||||||||
|
行程/mm |
5 |
5 |
8 |
10 |
12 |
20 |
25 |
40 |
60 |
|||||||||||||
|
操作模式 |
液压缓冲器,带复位弹簧 |
|||||||||||||||||||||
|
缓冲型式 |
自调节 |
|||||||||||||||||||||
|
安装型式 |
带锁紧螺母的螺纹 |
|||||||||||||||||||||
|
冲击速度/m·s-1 |
0.05~2 |
0.05~3 |
|
|
|
|
|
|
|
|||||||||||||
|
产品质量/g |
9 |
18 |
30 |
50 |
70 |
140 |
240 |
600 |
1250 |
|||||||||||||
|
环境温度/℃ |
-10~+80 |
|||||||||||||||||||||
|
复位时间①/s |
≤0.2 |
≤0.4 |
≤0.5 |
|
|
|
|
|
|
|||||||||||||
|
最小插入力②/N |
5.5 |
8.5 |
15 |
20 |
27 |
42 |
80 |
143 |
120 |
|||||||||||||
|
最大终端制动力③/N |
200 |
300 |
500 |
700 |
1000 |
2000 |
3000 |
4000 |
6000 |
|||||||||||||
|
最小复位力④/N |
0.7 |
1 |
3.1 |
4.5 |
6 |
6 |
14 |
14 |
21 |
|||||||||||||
|
每次行程的最大缓冲能量/J |
1 |
2 |
3 |
6 |
10 |
30 |
60 |
160 |
380 |
|||||||||||||
|
每小时的最大缓冲能量/J |
8000 |
12000 |
18000 |
26000 |
36000 |
64000 |
92000 |
150000 |
220000 |
|||||||||||||
|
许用质量范围/g |
1.5 |
5 |
15 |
25 |
45 |
90 |
120 |
200 |
400 |
|||||||||||||
|
① 规定的技术参数与环境温度有关,超过80℃时,最大质量和缓冲工件必须下降约50%,在-10℃时,复位时间可能长达1s ② 这是将缓冲器完全推进到回缩终端位置所需的最小的力,该值在外部终端位置延伸的情况下相应减小 ③ 如果超出最大制动力,则必须将限位挡块(如:YSRA)安装到行程终端前0.5mm处 ④ 这是可以作用在活塞杆上的最大力,允许缓冲器(如:伸出杆)完全伸出 |
||||||||||||||||||||||
|
SMC可调型液压缓冲器RBOEM系列(大型) |
型号 |
规 格 |
||||||||||||||||||||
|
最大吸 收能/J |
吸收行程 /mm |
冲击速度 /m·s-1 |
每小时最大吸 收能量/J·h-1 |
当量质量 范围/kg |
最大推 进力/N |
环境温 度/℃ |
弹簧力/N |
|||||||||||||||
|
伸出 |
压回 |
|||||||||||||||||||||
|
RB-OEM1.5M×1 |
260 |
25 |
0.3~3.6 |
126000 |
25~3400 |
2890 |
-10~ +80 |
49 |
68 |
|||||||||||||
|
RB-OEM1.5M×2 |
520 |
50 |
167000 |
45~6500 |
2890 |
32 |
68 |
|||||||||||||||
|
RB-OEM1.5M×3 |
780 |
75 |
201000 |
54~9700 |
2890 |
32 |
78 |
|||||||||||||||
|
RB-OEM2.0M×2 |
1360 |
50 |
271000 |
75~12700 |
6660 |
76 |
155 |
|||||||||||||||
|
RB-OEM2.0M×4 |
2710 |
100 |
362000 |
118~18100 |
6660 |
69 |
160 |
|||||||||||||||
|
RB-OEM2.0M×6 |
4070 |
150 |
421000 |
130~23600 |
6660 |
90 |
285 |
|||||||||||||||
|
RB-OEM3.0M×2 |
2300 |
50 |
0.3~4.3 |
372000 |
195~31700 |
12000 |
110 |
200 |
||||||||||||||
|
RB-OEM3.0M×3.5 |
4000 |
90 |
652000 |
215~36000 |
12000 |
110 |
200 |
|||||||||||||||
|
RB-OEM3.0M×5 |
5700 |
125 |
933000 |
220~51000 |
12000 |
71 |
200 |
|||||||||||||||
|
RB-OEM3.0×6.5 |
7300 |
165 |
1215000 |
300~56700 |
12000 |
120 |
330 |
|||||||||||||||
|
液压缓冲器类型 |
自调式 |
标准型 |
这种自调节液压缓冲器,当油液流经溢流阀和节流阀的组合装置时,作用在活塞杆上的冲击能量转化为热能,逸散于空气中。这保证了对每一种许用能量范围内的缓冲要求,缓冲器都能自动适应。内置的压缩弹簧可把活塞杆推回原始位置 |
|||||||||||||||||||
|
耐冷 却液型 |
它的主要技术性能与标准型液压缓冲器一样,只是在有活塞杆伸出端的液压缓冲器头部加装双层密封结构,在冷却液飞溅的工作区域内,防止外部切削液(油性溶液)导入其内部 |
|||||||||||||||||||||
|
短行 程型 |
它是标准型液压缓冲器的派生,尽管缓冲行程较短,缓冲过程力的上升较急骤,短行程液压缓冲器在短行程条件下,仍具足够缓冲特性,较适合在当缓冲空间尺寸有限及旋转装置(有旋转角度如下例2)的状况下进行缓冲 |
|||||||||||||||||||||
|
终端 低速 进给型 |
它的缓冲行程比短行程液压缓冲器长,缓冲过程力的上升较慢且平稳,尤其可应用于抓取和装配技术系统中的各种应用场合。具有以下功能:通过自调节的液压缓冲器具有低速进给特性进行缓冲,它的耐冲击速度范围较大,可达到0.05~3m/s |
|||||||||||||||||||||
|
可调型 |
对于可调型液压缓冲器,当油液通过压力控制阀排出时,冲击能量转化为热能,逸散于空气中。内置的压缩弹簧把活塞杆推回原始位置。通过调节圈数可以无级调节缓冲动作,调节可在工作过程中进行。缓冲器可用作终端制动装置,承受规定的最大冲击力。在其外部安装接近传感器进行终端位置感测,终端位置精密调节,其重复精度可达±0.02mm |
|||||||||||||||||||||
|
耐冲 击力型 |
耐冲击力型液压缓冲器,通常有内置弹簧调节及外部安置弹簧调节,通过调节圈数来完成对大负载的冲击缓冲 |
|||||||||||||||||||||
|
低速 进给型 |
低速进给型液压缓冲器主要用于气动进给单元的低速缓冲,使进给运动平稳,它最大耐冲击速度仅为0.3m/s,速度快慢可进行调节。通过调节圈可无级调节制动速度。适用于0.1m/s以下的低进给速度 |
|||||||||||||||||||||
|
计算与举例 |
计算公式 |
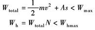
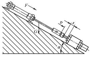
对液压缓冲器计算时,应确定下列值,即冲击时的有效值:作用力A、等效质量mequiv、冲击速度υ。为了选择合适的缓冲器,在缓冲器最大缓冲能量选择上确保不超出下列值:如每一次行程内所允许的能量负载在Wmin=25%、Wmax=100%,推荐每一次行程Wopt=50%~100%,同时,还要确保每小时最大缓冲能量、最大残余能量、最大终端制动力均不能超过液压缓冲器实际数值 直线运动计算公式
旋转运动计算公式
特殊情况:α=0°时水平运动,G=0 α=90°时向下运动,G=mg α=90°时向上运动,G=-mg 式中,υ为冲击速度,m/s;mequiv为等效质量,kg;g为重力加速度,9.81m/s2;s为缓冲器行程,m;α为冲击角,(°);Wtotal为缓冲功/行程,J;Wh为每小时缓冲功,J;J为转动惯量,kg·m2;R为质量中心与缓冲器间的距离,m;ω为角速度,rad/s;M为驱动力矩,N·m;a为重心与质量中心之间的距离;N为每小时行程数;A为附加作用力,N;F为气缸作用力与摩擦力之差,N;G为质量产生的力 |
||||||||||||||||||||
|
例
题 |
例1 已知:mequiv=m=50kg,m=50kg,υ=1.5m/s,α=45°,F=190N,f 20mm,p=6bar时,每小时行程数N为1800 |
|||||||||||||||||||||
|
求:每个行程所需的缓冲能量Wtotal及每小时所需的缓冲能量Wh,并选择液压缓冲器的规格 解:A=F+mgsinα=190N+50×9.81×sinαN=537N mequiv=m=50kg Wtotal=1/2mυ2+As=1/2×50×1.52+537×0.04=78J Wh=WtotalN=78×1800=140000J 如果选择FESTO公司YSR-25-40或YSR-25-40-C规格液压缓冲器(f 25mm、行程40mm),根据样本查得:YSR-25-40每次行程的最大缓冲能量Wmax=160J及每小时最大缓冲能量Wh=293000J;YSR-25-40每次行程的最大缓冲能量Wmax=160J及每小时最大缓冲能量Wh=150000J。对上述应用,两种缓冲器都适用。进一步的选择以调节装置和规格为依据。两种情况的利用率为49% |
|
|||||||||||||||||||||
|
如果选择SMC公司RB-OEM-1.5×2规格液压缓冲器(外径M42×1.5mm、行程50mm),它每次行程的最大缓冲能量Wmax=520J及每小时最大缓冲能量Wh=167000J。该液压缓冲器适用 |
||||||||||||||||||||||
|
例2 已知:J=2kg·m2,ω=4rad/s,R=0.5m,M=20N·m,每小时行程数N为900 求:每个行程所需的缓冲能量Wtotal及每小时所需的缓冲能量Wh,并选择液压缓冲器的规格 解:mequiv=J/R2=8kg,υ=ωR,A=M/R=40N Wtotal=1/2mυ2+As=1/2×8×22+40×0.02=17J Wh=WtotalN=17×900=15300J 如果选择FESTO公司YSR-16-20或YSR-16-20-C规格液压缓冲器(f 16mm、行程20mm),根据样本查得:YSR-16-20每次行程的最大缓冲能量Wmax=32J及每小时最大缓冲能量Wh=130000J YSR-16-20-C每次行程的最大缓冲能量Wmax=30J及每小时最大缓冲能量Wh=64000J。对上述应用,两种缓冲器都适用。进一步的选择以调节装置和规格为依据。两种情况的利用率分别为53%和57% |
|
|||||||||||||||||||||
|
如果选择SMC公司RB-OEM-0.5规格液压缓冲器(外径M20×1.12mm),它每次行程的最大缓冲能量Wmax=29.4J及每小时最大缓冲能量Wh=32000J,利用率为58%。该缓冲器适用。如选择RB1412(外径M14×1.5mm、行程12mm),它每次行程的最大缓冲能量Wmax=19.6J,运动频率45次/分,可得出每小时最大缓冲能量可Wh=52920J,利用率为87%。该液压缓冲器适用 |
||||||||||||||||||||||
|
选用 液压 缓冲 器注 意事 项 |
(1)安装液压缓冲器时,应注意缓冲器行程稍留有余量,不能让缓冲器内的活塞撞击其底座。如要求终点位置精确时,应让缓冲器内置于空心的金属圆柱体挡块内,以提高定位精度 (2)安装液压缓冲器时,应注意其轴心线与负载运动的轴心线一致,轴心偏角不得大于3°,对于旋转角度的缓冲角度而言,应选择短行程液压缓冲器,并使缓冲行程与旋转摆动半径之比小于0.05 (3)如果需安装两个以上的液压缓冲器时,注意同步动作 (4)严禁在液压缓冲器外部螺纹喷漆、校压,以避免影响散热效果及发生壁薄漏油 (5)液压缓冲器的机架有足够的刚度,液压缓冲器的锁紧螺母按其使用说明书的力矩操作,过紧易损坏其外部螺纹,过松易使其松动而被撞坏 (6)液压缓冲器不能在有腐蚀的环境下工作,避免与切削油、水、灰尘、脏物等接触 |
|||||||||||||||||||||






