|
行星架的技术要求 |
|||
|
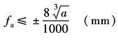
(1) 中心距极限偏差fa 行星架上各行星轮轴孔与行星架基准轴线的中心距偏差会引起行星轮径向位移,从而影响齿轮的啮合侧隙,还会由于各中心距偏差的数值和方向不同而导致影响行星轮轴孔距相对误差并使行星架产生偏心,因而影响行星轮均载。为此,要求各中心距的偏差等值且方向相同,即各中心距之间的相对误差等于或接近于零,一般控制在0.01~0.02mm之间。中心距极限偏差±fa之值可按下式计算:
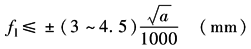
(2) 各行星轮轴孔的相邻孔距偏差fl 相邻行星轮轴孔距偏差fl是对各行星轮间载荷分配均匀性影响较大的因素,必须严格控制。其值主要取决于各轴孔的分度误差,即取决于机床和工艺装备的精度。fl之值按下式计算:
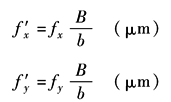
式中,a为中心距,mm。括号中的数值,高速行星传动取小值,一般中低速行星传动取较大值 各孔距偏差fl间的相互差值(即相邻两孔实测弦距的相对误差)Δfl也应控制在Δfl=(0.4~0.6)fl范围内 (3) 行星轮轴孔对行星架基准轴线的平行度公差f 'x和f 'y f 'x和f 'y是控制齿轮副接触精度的公差,其值按下式计算:
式中 fx和fy——在全齿宽上,x方向和y方向的轴线平行度公差,μm,按GB/T 10095—1988选取; B——行星架上两壁轴孔对称线(支点距)间的距离; b——齿轮宽度 (4) 行星架的偏心误差eX 行星架的偏心误差eX可根据相邻行星轮轴孔距偏差求得。一般取 (5)平衡试验 为保证传动装置运转的平稳性,对中、低速行星传动的行星架应进行静平衡试验,许用不平衡力矩按下表确定 |
|||
|
行星架的许用不平衡力矩 |
|||
|
行星架外圆直径/mm |
<200 |
200~350 |
350~500 |
|
许用不平衡力矩/N·m |
0.15 |
0.25 |
0.50 |
|
对于高速行星传动的行星架,应在其上全部零件装配完成后进行该组件的整体动平衡试验 |
|||


