|
WW型传动的配齿方法 |
|||
|
由于WW型传动只在很小的传动比范围内才有较高的效率,且具有外形尺寸和质量大、制造较困难等缺点,故一般只用于差速器及大传动比运动传递等特殊用途。为应用方便,下面对WW型传动的配齿方法作简单介绍 ① 传动比 a.确定齿数差e=zA-zB=zD-zC=1~8。e值也表示了A-C与B-D齿轮副径向尺寸的差值,由结构设计要求确定 b.确定计算常数 ∣e∣=1 c.按下式计算齿数
对于∣K∣=1,∣e∣=1的情况,上列各式将变为
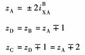
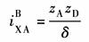
式中,“±”号和“ d.确定齿数。齿数主要按装配条件确定,其作法与NW传动相同。当∣K∣=1,∣e∣=1时,只要使zA为Cs的 倍数加1(正 e.按下式验算传动比并验算邻接条件
对于传动比
显然,e'=1~2,且负传动比时取负值 因为e'=1的WW型传动不能满足Cs≠1的装配条件,所以此种情况下,只采用一个行星轮 e'=2的二齿差WW型传动,由于zA与zB之差为2,当zA为偶数时,满足Cs=2的装配条件,故可采用两个行星轮 由于Cs=1或2,不必验算邻接条件 对于具有公共行星轮的WW型传动,因为两对齿轮副齿数zSAC与zSBD的差值为1~2,故可用角变位满足同心条件 ②传动比 配齿步骤如下 a.根据要求的传动比 |
|||
|
传动比范围 |
δ |
传动比范围 |
δ |
|
|
1 |
|
4~6 |
|
|
2 |
|
7~10 |
|
|
3 |
|
|
|
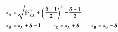
b.按下列公式计算齿数:
c.按下式验算传动比:
d.验算邻接条件 |
|||






