|
单圆弧齿轮的强度计算公式 |
|||
|
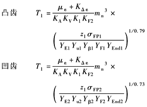
JB 929—1967型单圆弧齿轮强度计算公式 |
|||
|
项 目 |
单位 |
齿根弯曲强度 |
齿面接触强度 |
|
计算应力 |
MPa |
|
|
|
|
|||
|
法向模数 |
mm |
|
|
|
|
|||
|
小齿(凸齿)名义转矩 |
N·mm |
|
|
|
许用应力 |
MPa |
|
|
|
安全系数 |
|
|
|
|
公式的适用范围及说明同双圆弧齿轮 |
|||








