|
计算例题 |
|
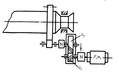
如图1所示球磨机传动简图,试设计其单级圆柱齿轮减速器。已知小齿轮传递的额定功率P=250kW,小齿轮的转速n1=750r/min,名义传动比i=3.15,单向运转,满载工作时间50000h
图1 传动简图 解 (1) 选择齿轮材料 小齿轮:37SiMnMoV,调质,硬度320~340HB 大齿轮:35SiMn,调质,硬度280~300HB 由图2和图3按MQ级质量要求取值,得σHlim1=800N/mm2、σHlim2=760N/mm2和σFlim1=320N/mm2、σFlim2=300N/mm2
图2 调质处理的碳钢、合金钢及铸钢的σHlim
图3 调质处理的碳钢、合金钢及铸钢的σFlim和σFE (2) 初步确定主要参数 1) 按接触强度初步确定中心距 按斜齿轮从表齿面接触强度中表1选取Aa=476,按齿轮对称布置,速度中等,冲击载荷较大,取载荷系数K=2.0。按表齿根弯曲强度中表2,选ψd=0.8,则ψa=0.38,按表齿面接触强度中表3圆整取齿宽系数ψa=0.35 齿数比 u=i=3.15 许用接触应力σHp:σHp≈0.9σHlim=0.9×760=684N/mm2 小齿轮传递的转矩T1
中心距a
取 a=500mm 2) 初步确定模数、齿数、螺旋角、齿宽、变位系数等几何参数
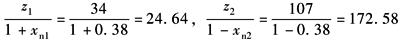
取 mn=7mm 由公式 取 z1=34 z2=iz1=3.15×34=107.1 取 z2=107
采用高度变位,由表选择变位系数的线图中图查得:x1=0.38 x2=-0.38 齿轮精度等级为7级 (3) 齿面接触强度核算 1) 分度圆上名义切向力Ft
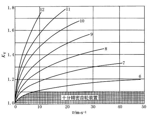
2) 使用系数KA 原动机为电动机,均匀平稳,工作机为水泥磨,有中等冲击,查表使用系数KA中表1 KA=1.5 3) 动载系数KV 齿轮线速度
由表动载系数KV中表7公式计算传动精度系数C
圆整取C=8 查图4 KV=1.25
图4 动载系数KV 注:6~12为齿轮传动精度系数。 4) 螺旋线载荷分布系数KHβ 由表螺旋线载荷分布系数KHβ中表8,齿轮装配时对研跑合
5)齿间载荷分配系数KHα
查表齿间载荷分配系数KHα、KHβ中表3得:KHα=1.1 6)节点区域系数ZH xS=0 β=9°14'55" 查图5 ZH=2.47
图5 αn=20°时的节点区域系数ZH 7)弹性系数ZE 由表弹性系数ZE 8) 重合度系数Zε 纵向重合度
端面重合度
则
由表重合度系数Zε中图查得 Zε=0.775 9) 螺旋角系数Zβ
10) 小齿轮、大齿轮的单对齿啮合系数ZB、ZD 按表小轮及大轮单对齿啮合系数ZB、ZD中表的判定条件,由于εβ=1.315>1.0,取ZB=1,ZD=1 11) 计算接触应力σH 由表齿面接触强度核算的公式中表公式可得
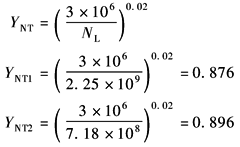
由于ZD=ZB=1,所以σH2=σH1=521.1N/mm2 12)寿命系数ZNT 应力循环次数
由表接触强度计算的寿命系数ZNT中表中公式计算
13) 润滑油膜影响系数ZLZvZR 由表润滑油膜影响系数ZL、Zv、ZR中表2,经展成法滚、插的齿轮副Rz10>4μm、ZLZvZR=0.85 14) 齿面工作硬化系数ZW 由齿面工作硬化系数ZW中图 ZW1=1.08 ZW2=1.11 15) 尺寸系数Zx 由表接触强度计算的尺寸系数Zx中表 ZX=1.0 16)安全系数SH
SH1、SH2均达到表最小安全系数中表规定的较高可靠度时,最小安全系数SHmin=1.25~1.30的要求。齿面接触强度核算通过 (4) 轮齿弯曲强度核算 1) 螺旋线载荷分布系数KFβ
2) 螺旋线载荷分配系数KFα
3) 齿廓系数YFα 当量齿数
由表齿廓系数YFα中图6 YFα1=2.17 YFα2=2.30 4) 应力修正系数YSα 由表应力修正系数YSα中图1 YSα1=1.81 YSα2=1.69 5) 重合度系数Yε
由表齿廓系数YFα中表3知
6) 螺旋角系数Yβ 由表弯曲强度计算的螺旋角系数Yβ中图 根据β、εβ查得 Yβ=0.92 7) 计算齿根应力σF 因εα=1.667<2,用表轮齿弯曲强度核算的公式中方法二
8) 试验齿轮的应力修正系数YST 见表轮齿弯曲强度核算的公式,YST=2.0 9) 寿命系数 由表弯曲强度的寿命系数YNT中表
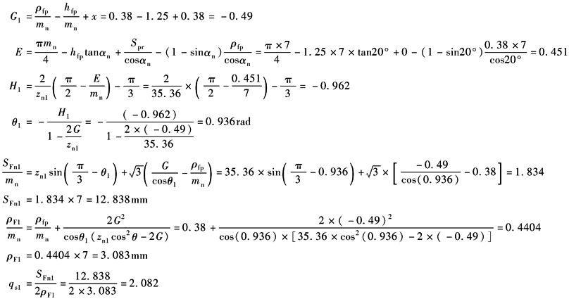
10) 相对齿根角敏感系数YδrelT ① 齿根圆角参数
同样计算可知:1.5<qs1(qs2)<4
11) 相对齿根表面状况系数YRrelT 由相对齿根表面状况系数YRrelT中图,齿根表面微观不平度10点高度为Rz10=12.5μm时
12) 尺寸系数Yx 由表弯曲强度尺寸系数Yx中表中的公式
13) 弯曲强度的安全系数SF
SF1、SF2均达到表最小安全系数中表规定的较高可靠度时最小安全系数SFmin=1.6的要求。轮齿弯曲强度核算通过 |





















