|
相对齿根圆角敏感系数YδrelT |
|
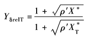
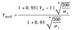
齿根圆角敏感系数表示在轮齿折断时,齿根处的理论应力集中超过实际应力集中的程度 相对齿根圆角敏感系数YδrelT是考虑所计算齿轮的材料、几何尺寸等对齿根应力的敏感度与试验齿轮不同而引进的系数。定义为所计算齿轮的齿根圆角敏感系数与试验齿轮的齿根圆角敏感系数的比值 在无精确分析的可用的数据时,可按下述方法分别确定YδrelT值 ① 持久寿命时的相对齿根圆角敏感系数YδrelT 持久寿命时的相对齿根圆角敏感系数YδrelT可按下式计算得出,也可由图1查得(当齿根圆角参数在1.5<qs<4的范围内时,YδrelT可近似地取为1,其误差不超过5%)
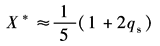
式中 ρ'——材料滑移层厚度,mm,可由表1按材料查取; X*——齿根危险截面处的应力梯度与最大应力的比值,其值
qs——齿根圆角参数,见表应力修正系数YS、YSa中①; XT*——试验齿轮齿根危险截面处的应力梯度与最大应力的比值,仍可用上式计算,式中qs取为qsT=2.5,此式适用于m=5mm,其尺寸的影响用Yx来考虑 |
|
表1 不同材料的滑移层厚度ρ' |
||||
|
序 号 |
材 料 |
滑移层厚度 ρ'/mm |
||
|
1 |
灰铸铁 |
σb=150N/mm2 |
0.3124 |
|
|
2 |
灰铸铁、球墨铸铁(铁素体) |
σb=300N/mm2 |
0.3095 |
|
|
3a 3b |
球墨铸铁(珠光体) 渗氮处理的渗氮钢、调质钢 |
|
0.1005 |
|
|
4 |
结构钢 |
σs=300N/mm2 |
0.0833 |
|
|
5 |
结构钢 |
σs=400N/mm2 |
0.0445 |
|
|
6 |
调质钢,球墨铸铁(珠光体、贝氏体) |
σs=500N/mm2 |
0.0281 |
|
|
7 |
调质钢,球墨铸铁(珠光体、贝氏体) |
σ0.2=600N/mm2 |
0.0194 |
|
|
8 |
调质钢,球墨铸铁(珠光体、贝氏体) |
σ0.2=800N/mm2 |
0.0064 |
|
|
9 |
调质钢,球墨铸铁(珠光体、贝氏体) |
σ0.2=1000N/mm2 |
0.0014 |
|
|
10 |
渗碳淬火钢,火焰淬火或全齿廓感应淬火的钢和球墨铸铁 |
|
0.0030 |
|
|
图1 持久寿命时的相对齿根圆角敏感系数YδrelT 注:图中材料数字代号见表1中的序号 |
||||
|
② 静强度的相对齿根圆角敏感系数YδrelT 静强度的YδrelT值可按表2中的相应公式计算得出(当应力修正系数在1.5<YS<3的范围内时,静强度的相对敏感系数YδrelT近似地可取为:YS/YST;但此近似数不能用于氮化的调质钢与灰铸铁) |
||||
|
表2 静强度的相对齿根圆角敏感系数YδrelT |
||||
|
计 算 公 式 |
备 注 |
|||
|
结构钢
|
YS——应力修正系数,见表应力修正系数YS、YSa中① σs——屈服强度 |
|||
|
调质钢、铸铁和球墨铸铁(珠光体、贝氏体)
|
σ0.2——发生残余变形0.2% 时的条件屈服强度 |
|||
|
渗碳淬火钢、火焰淬火和全齿廓感应淬火的钢、球墨铸铁
|
表层发生裂纹的应力极限 |
|||
|
渗氮处理的渗氮钢、调质钢
|
表层发生裂纹的应力极限 |
|||
|
灰铸铁和球墨铸铁(铁素体)
|
断裂极限 |
|||
|
③ 有限寿命的齿根圆角敏感系数YδrelT 有限寿命的YδrelT可用线性插入法从持久寿命的YδrelT和静强度的YδrelT之间得到
式中,YδrelTc、YδrelT0分别为持久寿命和静强度的相对齿根圆角敏感系数 |
||||





