|
弯曲强度计算的螺旋角系数Yβ |
|
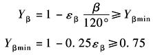
螺旋角系数Yβ是考虑螺旋角造成的接触线倾斜对齿根应力产生影响的系数。其数值可由下式计算
上面式中:当εβ>1时,按εβ=1计算,当Yβ<0.75时,取Yβ=0.75;当β>30°时,按β=30°计值 螺旋角系数Yβ也可根据β角和纵向重合度εβ由下图查取
螺旋角系数Yβ |
|
弯曲强度计算的螺旋角系数Yβ |
|
螺旋角系数Yβ是考虑螺旋角造成的接触线倾斜对齿根应力产生影响的系数。其数值可由下式计算
上面式中:当εβ>1时,按εβ=1计算,当Yβ<0.75时,取Yβ=0.75;当β>30°时,按β=30°计值 螺旋角系数Yβ也可根据β角和纵向重合度εβ由下图查取
螺旋角系数Yβ |