|
齿廓系数YF、YFa |
|||||||||||||||
|
齿廓系数用于考虑齿廓对名义弯曲应力的影响,以过齿廓根部左右两过渡曲线与30°切线相切点的截面作为危险截面进行计算 ① 齿廓系数YF 齿廓系数YF是考虑载荷作用于单对齿啮合区外界点时齿廓对名义弯曲应力的影响(见图1) 外齿轮的齿廓系数YF可由下式计算
式中 mn——齿轮法向模数,mm; αn——法向分度圆压力角; αFen,hFe,sFn的定义见图1
图1 影响外齿轮齿廓系数YF的各参数 用齿条刀具加工的外齿轮,YF可用表1中的公式计算。但此计算需满足下列条件:a.30°切线的切点位于由刀具齿顶圆角所展成的齿根过渡曲线上;b.刀具齿顶必须有一定大小的圆角(即ρfP≠0),刀具的基本齿廓尺寸见图2
图2 刀具基本齿廓尺寸 |
|||||||||||||||
|
表1 外齿轮齿形系数YF的有关公式 |
|||||||||||||||
|
序号 |
名 称 |
代号 |
计 算 公 式 |
备 注 |
|||||||||||
|
1 |
刀尖圆心至刀齿对称线的距离 |
E |
|
hfP——基本齿廓齿根高 spr=pr-q见图2 |
|||||||||||
|
2 |
辅助值 |
G |
|
x——法向变位系数 |
|||||||||||
|
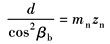
3 |
基圆螺旋角 |
βb |
|
|
|||||||||||
|
4 |
当量齿数 |
zn |
|
|
|||||||||||
|
5 |
辅助值 |
H |
|
|
|||||||||||
|
6 |
辅助角 |
θ |
|
用牛顿法解时可取初始值
|
|||||||||||
|
7 |
危险截面齿厚与模数之比 |
|
|
|
|||||||||||
|
8 |
30°切点处曲率半径与模数之比 |
|
|
|
|||||||||||
|
9 |
当量直齿轮端面重合度 |
εαn |
|
εα见表齿间载荷分配系数KHα、KFα中表1中式计算 |
|||||||||||
|
10 |
当量直齿轮分度圆直径 |
dn |
|
|
|||||||||||
|
11 |
当量直齿轮基圆直径 |
dbn |
|
|
|||||||||||
|
12 |
当量直齿轮顶圆直径 |
dan |
|
da——齿顶圆直径 d——分度圆直径 |
|||||||||||
|
13 |
当量直齿轮单对齿啮合区外界点直径 |
den |
注:式中“ |
||||||||||||
|
14 |
当量齿轮单齿啮合外界点压力角 |
αen |
|
|
|||||||||||
|
15 |
外界点处的齿厚半角 |
γe |
|
|
|||||||||||
|
16 |
当量齿轮单齿啮合外界点载荷作用角 |
αFen |
αen-γe |
|
|||||||||||
|
17 |
弯曲力臂与模数比 |
|
|
|
|||||||||||
|
18 |
齿廓系数 |
YF |
|
|
|||||||||||
|
注:1.表中长度单位为 mm,角度单位为rad。 2.计算适用于标准或变位的直齿轮和斜齿轮。对于斜齿轮,齿廓系数按法截面确定,即按当量齿数zn进行计算。大、小齿轮的YF应分别计算。 |
|||||||||||||||
|
内齿轮的齿廓系数YF不仅与齿数和变位系数有关,且与插齿刀的参数有关。为了简化计算,可近似地按替代齿条计算(见图3)。替代齿条的法向齿廓与基本齿条相似,齿高与内齿轮相同,法向载荷作用角αFen等于αn,并以脚标2表示内齿轮。YF可用表2中的公式进行计算
图3 影响内齿轮齿廓系数YF的各参数 |
|||||||||||||||
|
表2 内齿轮齿廓系数YF的有关公式(适用于z2>70) |
|||||||||||||||
|
序号 |
名 称 |
代号 |
计 算 公 式 |
备 注 |
|||||||||||
|
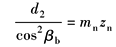
1 |
当量内齿轮分圆直径 |
dn2 |
|
d2——内齿轮分圆直径 |
|||||||||||
|
2 |
当量内齿轮根圆直径 |
dfn2 |
dn2+df2-d2 |
df2——内齿轮根圆直径 |
|||||||||||
|
3 |
当量齿轮单齿啮合区外界点直径 |
den2 |
|
式中“±”、“ |
|||||||||||
|
4 |
当量内齿轮齿根高 |
hfP2 |
|
|
|||||||||||
|
5 |
内齿轮齿根过渡圆半径 |
ρF2 |
当ρF2已知时取已知值;当ρF2未知时取为0.15mn |
|
|||||||||||
|
6 |
刀具圆角半径 |
ρfP2 |
当齿轮型插齿刀顶端ρfP2已知时取已知值;当ρfP2未知时,取ρfP2≈ρF2 |
|
|||||||||||
|
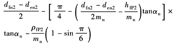
7 |
危险截面齿厚与模数之比 |
|
|
spr=pr-q 见图2 |
|||||||||||
|
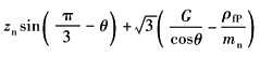
8 |
弯曲力臂与模数之比 |
|
|
|
|||||||||||
|
9 |
齿廓系数 |
YF |
|
|
|||||||||||
|
注:表中长度单位为 mm,角度单位为rad。 |
|||||||||||||||
|
② 齿廓系数YFa 齿廓系数YFa是考虑当载荷作用于齿顶时齿廓对名义弯曲应力的影响,用于近似计算,且YFa只能与Yε一起使用 外齿轮的齿廓系数YFa可由下式确定(参见图4)
公式适用于εαn<2的标准或变位的直齿轮和斜齿轮。大、小轮的YFa应分别确定 对于斜齿轮,齿廓系数按法截面确定,即按当量齿数zn确定,当量齿数zn可用表1中公式计算 用齿条刀具加工的外齿轮的YFa可按表3中的公式计算,或按图6~图10相应查取。不同参数的齿廓所适用的图号见表5 图6~图10的图线适用于齿顶不缩短的齿轮。对于齿顶缩短的齿轮,实际弯曲力臂比不缩短时稍小一些,因此用以上图线查取的值偏于安全
图4 影响外齿轮齿廓系数YFa的各参数 |
|||||||||||||||
|
表3 外齿轮齿廓系数YFa的有关公式 |
|||||||||||||||
|
序 号 |
名 称 |
代 号 |
计 算 公 式 |
备 注 |
|||||||||||
|
1 |
刀尖圆心至刀齿对称线的距离 |
E |
|
hfP——基本齿廓齿根高 spr——pr-q,见图2 |
|||||||||||
|
2 |
辅助值 |
G |
|
x——法向变位系数 |
|||||||||||
|
3 |
基圆螺旋角 |
βb |
|
|
|||||||||||
|
4 |
当量齿数 |
zn |
|
|
|||||||||||
|
5 |
辅助值 |
H |
|
|
|||||||||||
|
6 |
辅助角 |
θ |
|
用牛顿法解时可取初始值 θ=-H/(1-2G/zn) |
|||||||||||
|
7 |
危险截面齿厚与模数之比 |
|
|
ρfP/mn按表1中 |
|||||||||||
|
8 |
当量齿轮齿顶压力角 |
αan |
|
da——齿顶圆直径 d——齿分圆直径 |
|||||||||||
|
9 |
齿顶厚半角 |
γa |
|
|
|||||||||||
|
10 |
当量齿轮齿顶载荷作用角 |
αFan |
|
|
|||||||||||
|
11 |
弯曲力臂与模数之比 |
|
|
|
|||||||||||
|
12 |
齿廓系数 |
YFa |
|
|
|||||||||||
|
注:长度单位为mm,角度单位为rad。 |
|||||||||||||||
|
内齿轮的齿廓系数YFa可近似地按替代齿条计算。此替代齿条的法向齿廓与基本齿条相似,齿高与内齿轮相同,并取法向载荷作用角αFan等于αn(参见图5)。以脚标2表示内齿轮。有关计算公式见表4(适用于z2>70)
图5 影响内齿轮齿廓系数YFa的各参数 |
|||||||||||||||
|
表4 内齿轮齿廓系数YFa的有关公式 |
|||||||||||||||
|
序号 |
名 称 |
代号 |
计 算 公 式 |
备 注 |
|||||||||||
|
1 |
当量内齿轮分圆直径 |
dn2 |
|
d2——内齿轮分圆直径 |
|||||||||||
|
2 |
当量内齿轮根圆直径 |
dfn2 |
|
df2——内齿轮根圆直径 |
|||||||||||
|
3 |
当量内齿轮顶圆直径 |
dan2 |
|
da2——内齿轮顶圆直径 |
|||||||||||
|
4 |
当量内齿轮齿根高 |
hfP2 |
|
|
|||||||||||
|
5 |
内齿轮齿根过渡圆半径 |
ρF2 |
当ρF2已知时取已知值;当ρF2未知时取为0.15mn |
|
|||||||||||
|
6 |
刀具圆角半径 |
ρfP2 |
当齿轮型插齿刀顶端ρfP2已知时取已知值;当ρfP2未知时,取ρfP2≈ρF2 |
|
|||||||||||
|
7 |
危险截面齿厚与模数之比 |
|
|
spr=pr-q,见图2 |
|||||||||||
|
8 |
弯曲力臂与模数之比 |
|
|
||||||||||||
|
9 |
齿廓系数 |
YFa |
|
||||||||||||
|
注:1.对变位齿轮,仍取标准齿高。 2.长度单位为 mm,角度单位为rad。 |
|||||||||||||||
|
与图6~图10各齿廓参数相对应的内齿轮齿廓系数YFa也可由表5查取 |
|||||||||||||||
|
表5 几种基本齿廓齿轮的YFa |
|||||||||||||||
|
基 本 齿 廓 |
外 齿 轮 |
内 齿 轮 |
|||||||||||||
|
αn |
|
|
|
YFa |
YFa ρF=0.15mn,h=haP+hfP |
||||||||||
|
20° |
1 |
1.25 |
0.38 |
图6 |
2.053 |
||||||||||
|
20° |
1 |
1.25 |
0.3 |
图7 |
2.053 |
||||||||||
|
22.5° |
1 |
1.25 |
0.4 |
图8 |
1.87 |
||||||||||
|
20° |
1 |
1.4 |
0.4 |
图9 |
(已挖根) |
||||||||||
|
25° |
1 |
1.25 |
0.318 |
图10 |
1.71 |
||||||||||
|
图6 外齿轮齿廓系数YFa αP=20°,haP/mn=1;hfP/mn=1.25;ρfP/mn=0.38 对内齿轮当ρfP/mn=0.15时,YFa=1.87
图7 外齿轮齿廓系数YFa αP=20°;haP/mn=1;hfP/mn=1.25;ρfP/mn=0.30 对内齿轮当ρfP/mn=0.15时,YFa=2.053
图8 外齿轮齿廓系数YFa αP=22.5°,haP/mn=1;hfP/mn=1.25;ρfP/mn=0.40 对内齿轮当ρfP/mn=0.15时,YFa=1.87
图9 外齿轮齿廓系数YFa αP=20°;haP/mn=1;hfP/mn=1.4;ρfP/mn=0.4 sPr/mn=0.02
图10 外齿轮齿廓系数YFa αP=25°;haP/mn=1.0,hfP/mn=1.25;ρfP/mn=0.318 |
|||||||||||||||























