|
螺旋线偏差的检验 |
||||||||||||||||||||||||
|
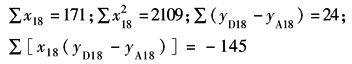
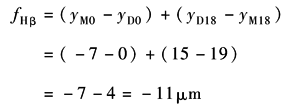
按定义,螺旋线偏差是在端面基圆切线方向测量的实际螺旋线与设计螺旋线之间的差值,如果偏差是在齿面的法向测量,则应除以cosβb,以换算成端面的偏差量,然后才能与公差极限值比较 螺旋线图 螺旋线图包括螺旋线迹线,它是由螺旋线检验设备在纸上或其他适当的介质上画出来的曲线,此曲线如偏离了直线,其偏离量即表示实际的螺旋线与不修形螺旋线的偏差 设计者所采用的螺旋线修形,也表现为同直线的偏离,但这种情况不能作为“设计螺旋线”的偏差来对待 有时迹线长度放大来表示较小齿宽,或缩小表示较大的齿宽 关于右和左螺旋线,可分别用字母“r”、“l”作为标记或下标 在图1一个典型的螺旋线图例子中,可看到设计螺旋线未修形时齿面的螺旋线偏差,如果“设计螺旋线”是鼓形,齿端减薄或别的修形时,则其迹线应为适当形状的曲线 有关螺旋线迹线的详细术语、定义和概念,已在ISO 1328第1部分中叙述 螺旋线计值范围Lβ等于迹线长度两端各减去5%的迹线长度,但减去量不超过1个模数(1×m),所以要提出此减去量是为了有些机加工的条件所引起的,非有意的少量端部减薄不计入偏差量的评定中去,在评定螺旋线总偏差(Fβ)和螺旋线形状偏差(ffβ)时,若在5%区域内有多余的材料,则增加的偏差必须考虑进去,而在这区域内如多切去金属而形成的偏差值,其公差可予增大
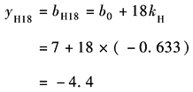
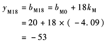
图1 螺旋线图示例 1—设计螺旋线迹线;2—实际螺旋线迹线;3—平均螺旋线迹线;b—齿宽或两端倒角之间的距离; Lβ—螺旋线计值范围;Ⅰ—基准面;Fβ—螺旋线总偏差;ffβ—螺旋线形状偏差; fHβ—螺旋线斜率偏差;λβx—波度曲线轴向波长;fwβ—波长曲线波高;Ⅱ—非基准面 螺旋线图的评定 1)图2螺旋线偏差(iii)的图解 其螺旋线迹线的设计螺旋线为不修形螺旋线yDi=0,两端减薄区都偏向体内,见图2和表1 可得 斜直线截距
斜率
斜直线截距
由yH值求出yMi=yDi-yHi列于表1和图2
图2 螺旋线偏差(iii)图形 ① 螺旋线总偏差Fβ:按定义,因为减薄区的偏差偏向体外正偏差,必须计入偏差值
② 螺旋线形状偏差ffβ:按定义因为减薄区的偏差偏向体外正偏差,必须计入偏差值
③ 螺旋线斜率偏差fHβ:按定义,
表1 螺旋线偏差(iii)的数据 |
||||||||||||||||||||||||
|
xi |
-1 |
↖ |
0 |
1 |
2 |
3 |
4 |
5 |
6 |
7 |
8 |
9 |
||||||||||||
|
|
|
|
0 |
1 |
4 |
9 |
16 |
25 |
36 |
49 |
64 |
81 |
||||||||||||
|
yDi |
-3 |
-1 |
0 |
3 |
6 |
9 |
12 |
16 |
18 |
19 |
20 |
21 |
||||||||||||
|
yAi |
-5 |
1 |
0 |
-2 |
-1 |
0 |
5 |
16 |
16 |
18 |
22 |
18 |
||||||||||||
|
(yDi-yAi) |
2 |
-2 |
0 |
5 |
7 |
9 |
7 |
0 |
2 |
1 |
-2 |
3 |
||||||||||||
|
xi(yDi-yAi) |
|
|
0 |
5 |
14 |
27 |
28 |
0 |
12 |
7 |
-16 |
27 |
||||||||||||
|
yHi |
7.63 |
7.3 |
7 |
6.3 |
5.7 |
5.1 |
4.4 |
3.8 |
3.2 |
2.5 |
1.9 |
1.3 |
||||||||||||
|
(yDi-yHi)=yMi |
-10.6 |
-8 |
-7 |
-3 |
0 |
4 |
8 |
12 |
15 |
17 |
18 |
20 |
||||||||||||
|
xi |
10 |
11 |
12 |
13 |
14 |
15 |
16 |
17 |
18 |
↗ |
19 |
|
||||||||||||
|
|
100 |
121 |
144 |
169 |
196 |
225 |
256 |
289 |
324 |
|
|
|
||||||||||||
|
yDi |
22 |
22 |
21 |
20 |
19 |
18 |
17 |
16 |
15 |
14 |
13 |
|
||||||||||||
|
|
16 |
14 |
16 |
17 |
22 |
22 |
23 |
24 |
24 |
26 |
20 |
|
||||||||||||
|
(yDi-yAi) |
6 |
8 |
5 |
3 |
-3 |
-4 |
-6 |
-8 |
-9 |
|
|
|
||||||||||||
|
xi(yDi-yAi) |
60 |
88 |
60 |
39 |
-42 |
-60 |
-96 |
-136 |
-162 |
|
|
|
||||||||||||
|
yHi |
0.6 |
0 |
-0.6 |
-1.3 |
-1.9 |
-2.5 |
-3.2 |
-3.8 |
-4.4 |
-5 |
-6 |
|
||||||||||||
|
(yDi-yHi)=yMi |
21 |
22 |
22 |
21 |
21 |
21 |
20 |
20 |
19 |
19 |
19 |
|
||||||||||||
|
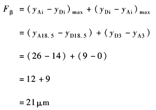
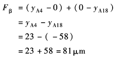
2)图3螺旋线偏差(i)的图解 其螺旋线迹线的设计螺旋线为不修形螺旋线yDi=0,两端减薄区都偏向体内,见图3和表2 |
||||||||||||||||||||||||
|
表2 螺旋线偏差(i)的数据 |
||||||||||||||||||||||||
|
xi |
-1 |
0 |
1 |
2 |
3 |
4 |
5 |
6 |
7 |
8 |
9 |
10 |
||||||||||||
|
yAi |
-20 |
0 |
7 |
13 |
22 |
23 |
12 |
2 |
-17 |
-26 |
-25 |
-23 |
||||||||||||
|
xiyAi |
|
0 |
7 |
26 |
66 |
92 |
60 |
12 |
-119 |
-208 |
-225 |
-230 |
||||||||||||
|
yMi |
|
20 |
16 |
12 |
8 |
4 |
0 |
-4 |
-8 |
-12 |
-17 |
-21 |
||||||||||||
|
xi |
11 |
12 |
13 |
14 |
15 |
16 |
17 |
18 |
19 |
|
|
|
||||||||||||
|
yAi |
-22 |
-21 |
-22 |
-31 |
-43 |
-50 |
-55 |
-58 |
-65 |
|
|
|
||||||||||||
|
xiyAi |
-242 |
-252 |
-286 |
-434 |
-645 |
-800 |
-935 |
-1044 |
|
|
|
|
||||||||||||
|
yMi |
-25 |
-29 |
-33 |
-37 |
-41 |
-45 |
-49 |
-53 |
|
|
|
|
||||||||||||
|
可得 平均螺旋线(斜直线)截距
斜率
平均螺旋线(斜直线)截距
取
列于图3和表2 ① 螺旋线总偏差Fβ:由于
则
② 螺旋线形状偏差ffβ
③ 螺旋线斜率偏差fHβ
图3 螺旋线偏差(i)的图形 螺旋线公差带 检测螺旋线精度的一个简便方法,是看迹线是否在给定公差带内 这个方法实质上和“齿廓公差带”是同样的,见表齿廓公差带 轮齿的鼓度Cβ 在线图中,未修整齿面的螺旋线迹线是用一条直线来表示,而鼓形齿的齿面其相应的迹线是弓形曲线,在线图中,鼓形齿齿面的设计螺旋线和平均螺旋线迹线通常是抛物线,见图4
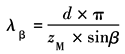
图4 轮齿的鼓度Cβ 轮齿鼓度Cβ的评定步骤,与表齿廓凸度Cα中阐述的齿廓凸度Cα是类似的 波度 波度是螺旋线形状偏差,具有不变的波长和基本不变的高度,切齿机床传动链元件的扰动是导致出现波度通常的主要原因,特别是: ① 刀架进给丝杠的扰动; ② 分度蜗杆传动中蜗杆的扰动 由于原因①所造成的波度的波长,在沿螺旋线方向测量时,等于进给丝杠的螺距除以cosβ 由于原因②所造成的波度,其波长为
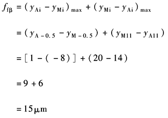
由于原因②所造成的波度,其波数(投影到端面上计数)等于主分度蜗轮的齿数zM。这可能造成在噪声谱中那部分刺耳的钝音,其频率相当于被测齿轮的旋转速度(转数)乘以zM 图5说明了在螺旋线检测仪器上装置波度测量附件的应用方法,这将在下面讨论
图5 波度曲线检测原理 在检测原因①或②造成的波度曲线时,计算出相关的波长,把附件的球形定位脚放在奇数个波长的间距上,随后使定位脚沿螺旋线滑动,波度的数值由位于定位脚中间的测头显示出来 图中可看到,当测头接触波峰而后又接触波谷时,就如图显示的那样,测头的位移等于两倍波高,这个特点提高了仪器的灵敏度,测量结果以图的形式绘制出来 需要注意的是,若定位脚的间距为偶数个波长时(图5 s=4λβ),波度就显示不出来了 |
||||||||||||||||||||||||




















