|
5级精度的齿轮偏差允许值的计算公式 |
|
注:符号见表符号和术语中说明。 单个齿距偏差fpt的计算式
齿距累积偏差Fpk的计算式
齿距累积总偏差Fp的计算式
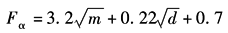
齿廓总偏差Fα的计算式
螺旋线总偏差Fβ的计算式
公式中的参数m、d和b取各分段界限值的几何平均值 按表齿轮精度制的结构中参数范围和圆整规则的规定 切向综合偏差的公差公式,齿廓形状和斜率偏差、螺旋线的形状和斜率偏差推荐公差的公式,分别在表切向综合偏差的公差中5级精度公差的公式和表齿廓形状偏差ffα、表齿廓斜率偏差±fHα、表螺旋线形状偏差ffβ和螺旋线斜率偏差±fHβ中给出 |
