滚子链传动的一般设计计算内容和步骤(GB/T 18150—2006) | |||||||||||||||
计算的基本依据是滚子链的额定功率曲线(图2、图3),如图中所述它是在特定条件下制定的。它提供的是以磨损失效为基础并综合考虑其他失效形式而制定的许用传动功率。故下表的计算为常见的一般用途的滚子链传动 已知条件:①传递功率;②主动、从动机械类型、载荷性质;③小链轮和大链轮转速;④中心距要求其布置;⑤环境条件 | |||||||||||||||
项目 | 单位 | 公 式 及 数 据 | 说 明 | ||||||||||||
传动比i | |
| n1—— 小链轮转速,r/min n2—— 大链轮转速,r/min | ||||||||||||
小链轮齿数z1 | | z1≥zmin=17 | 为使转动平稳,对高速或承受冲击载荷的链传动:z1≥25,且链轮齿应淬硬 z1、z2取奇数,链条节数Lp为偶数时,可使链条和链轮轮齿磨损均匀 优先选用齿数:17,19,21,23,25,38,57,76,95和114 | ||||||||||||
大链轮齿数z2 | | z2=iz1≤114 | 增大z2,链传动的磨损使用寿命降低 | ||||||||||||
修正功率Pc | kW | Pc=Pf1f2 | P——传递功率,kW f1——工况系数,见表工况系数f1 f2——小链轮齿数系数,见图1 | ||||||||||||
链条节距p | mm | 根据修正功率Pc(取Pc等于额定功率Pc)和小链轮转速n1,由图2或图3选用合适的节距p | 为使传动平稳,结构紧凑,宜选用小节距单排链;当速度高、功率大时,则选用小节距多排链,此时应注意安装误差对其传动准确性的影响 | ||||||||||||
初定中心距a0 | mm |
| 有张紧装置或托板时,a0可大于80p。对中心距不能调整的传动,a0max≈30p | ||||||||||||
以节距计的初定中心距a0p | 节 |
| | ||||||||||||
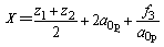
链条节数X | 节 |
| 计算得到的X值,应圆整为偶数,以避免使用过渡链节,否则其极限拉伸载荷为正常值的80% f3——用齿数计算链条节数的系数 | ||||||||||||
链条长度L | m |
| | ||||||||||||
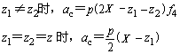
计算中心距ac | mm |
| f4——用齿数计算中心距的系数,见表f4的计算值 | ||||||||||||
实际中心距a | mm | a=ac-Δa 一般Δa=(0.002~0.004)ac | 为使链条松边有合适的垂度,需将计算中心距减小Δa,其垂度f=(0.01~0.03)ac 对中心距可调的Δa取大值,对中心距不可调或无张紧装置的或有冲击振动的传动取小值 | ||||||||||||
链条速度υ | m/s |
| υ≤0.6m/s时,为低速链传动 υ>0.6~8m/s时,为中速链传动 υ>8m/s时,为高速链传动 | ||||||||||||
有效圆周力Ft | N |
| | ||||||||||||
作用在轴上的力F | N | 水平或倾斜的传动:F≈(1.15~1.20)f1Ft 接近垂直的传动:F≈1.05f1Ft | | ||||||||||||
润滑 | | 见图4和表链传动润滑方式及说明 | 在链传动使用中,必须给以保证的最低润滑要求 | ||||||||||||
验算小链轮包角α1 | (°) |
| α1≥120° | ||||||||||||
图1 小链轮齿数系数f2
图2 符合GB/T 1243A系列滚子链的典型承载能力图 注:1.双排链的额定功率Pc=单排链的Pc×1.75;三排链的额定功率Pc=单排链的Pc×2.5。 2.本图的制定条件为安装在水平平行轴上的两链轮传动;小链轮齿数z1=25,无过渡链节的单排链,链条节数Lp=120节;链传动比i=3;链条预期使用寿命15000h;工作环境温度-5~70℃;链轮正确对中,链条调节保持正确;平稳运转,无过载、冲击或频繁启动;清洁和合适的润滑。
图3 符合GB/T 1243B系列滚子链的典型承载能力图 注:1.双排链的额定功率Pc=单排链的Pc×1.75;三排链的额定功率Pc=单排链的Pc×2.5。 2.本图的制定条件为安装在水平平行轴上的两链轮传动;小链轮轮齿数z1=25;无过渡链节的单排链;链条节数Lp=120节;链传动比i=3,链条预期使用寿命15000h;工作环境温度-5~70℃;链轮正确对中,链条调节保持正确;平稳运转,无过载、冲击或频繁启动;清洁和合适的润滑
图4 润滑范围选择图 范围1—用油壶或油刷定期人工润滑;范围2—滴油润滑;范围3—油池润滑或油盘飞溅润滑; 范围4—油泵压力供油润滑,带过滤器;必要时带油冷却器(当链传动的空间狭小,并作高速、大功率传动时) 注:齿形链传动有三种基本润滑方式。方式Ⅰ为图中范围1~2;方式Ⅱ为范围3;方式Ⅲ为范围4 | |||||||||||||||





