|
空气弹簧计算示例 |
|||
|
项目 |
单位 |
公式及数据 |
|
|
已 知 条 件 |
直筒约束膜式KZ2型转向架 |
|
|
|
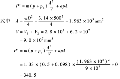
空气弹簧有效直径D |
mm |
500 |
|
|
空气弹簧的内容积V1 |
mm3 |
2.8×107 |
|
|
附加空气室的容积V2 |
mm3 |
6.2×107 |
|
|
空气弹簧的内压力p |
MPa |
0.5 |
|
|
大气压力pa |
MPa |
0.098 |
|
|
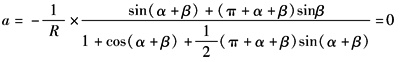
角度α |
(°) |
0 |
|
|
角度β |
(°) |
0 |
|
|
m |
|
1.33 |
|
|
计 算 项 目 |
形状系数a |
|
|
|
垂直刚度P' |
N/mm |
|
|


