|
橡胶压缩弹簧计算公式 |
||||
|
型式及简图 |
变形f/mm |
刚度P'/N·mm-1 |
备注 |
|
|
圆 柱 形 |
|
|
|
P——载荷,N |
|
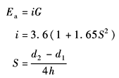
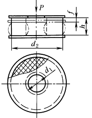
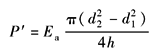
圆 环 形 |
|
|
|
|
|
矩 形 |
|
|
|
|
|
橡胶压缩弹簧计算公式 |
||||
|
型式及简图 |
变形f/mm |
刚度P'/N·mm-1 |
备注 |
|
|
圆 柱 形 |
|
|
|
P——载荷,N |
|
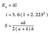
圆 环 形 |
|
|
|
|
|
矩 形 |
|
|
|
|