|
扭杆弹簧的计算公式 |
|||||||||||||||||
|
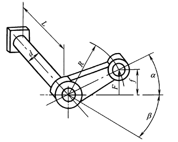
图1为悬架装置扭杆弹簧的机构图。当作用在杆臂上的力P处于垂直位置时,此机构弹簧刚度不是定值,而是随着力臂的安装角度和变形角度而变化。因此在计算杆体所承受的扭矩T时,必须考虑力臂长度和位置。其计算公式如表1所示
图1 悬架装置扭杆弹簧机构图 |
|||||||||||||||||
|
表1 扭杆弹簧计算 |
|||||||||||||||||
|
项目 |
单位 |
公式及数据 |
备注 |
||||||||||||||
|
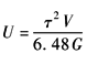
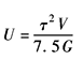
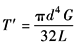
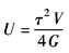
作用于转臂端垂直方向的载荷P |
N |
|
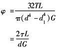
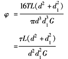
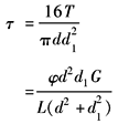
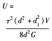
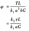
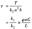
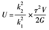
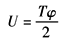
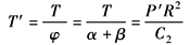
α、β——受载和卸载时力臂中心线与水平线夹角,rad φ=α+β
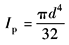
υ——自振频率,Hz Zt——抗扭断面系数,mm3,见表2 Ip——极惯性矩,mm4 G——剪切弹性模数,MPa g——重力加速度,g=9800mm/s2 |
||||||||||||||
|
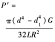
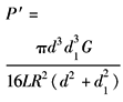
臂端垂直方向的扭杆弹簧刚度P' |
N/mm |
|
|||||||||||||||
|
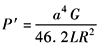
扭杆弹簧的扭矩T |
N·mm |
|
|||||||||||||||
|
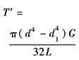
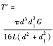
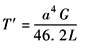
扭角刚度T ' |
|
|
|||||||||||||||
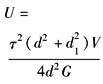
|
静变形fs |
mm |
|
|||||||||||||||
|
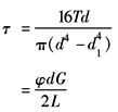
扭转切应力τ |
MPa |
|
|||||||||||||||
|
扭杆有效长度L |
|
|
|||||||||||||||
|
扭杆的自振频率υ |
Hz |
|
|||||||||||||||
|
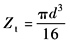
表2 常用截面扭杆弹簧的有关计算公式 |
|||||||||||||||||
|
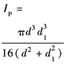
截面形状 |
极惯性矩 Ip/mm4 |
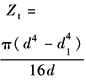
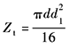
抗扭断面系 数Zt/mm3 |
变形角φ
|
扭转切应力
|
扭角刚度
/N·mm·rad-1 |
载荷作用点
/N·mm-1 |
变形能
/N·mm |
||||||||||
|
|
|
|
|
|
|
|
|
||||||||||
|
|
|
|
|
|
|
|
|
||||||||||
|
|
|
|
|
|
|
|
|
||||||||||
|
|
|
|
|
|
|
|
|
||||||||||
|
|
|
|
|
|
|
|
|
||||||||||
|
|
|
|
|
|
|
|
|
||||||||||
|
表3 矩形截面扭杆计算公式中的系数 |
|||||||||||||||||
|
|
k1 |
k2 |
k3 |
|
k1 |
k2 |
k3 |
||||||||||
|
1.00 |
0.1406 |
0.2082 |
1.0000 |
1.75 |
0.2143 |
0.2 390 |
0.8207 |
||||||||||
|
1.05 |
0.1474 |
0.2112 |
|
1.80 |
0.2174 |
0.2404 |
|
||||||||||
|
1.10 |
0.1540 |
0.2139 |
|
1.90 |
0.2233 |
0.2432 |
|
||||||||||
|
1.15 |
0.1602 |
0.2165 |
|
2.00 |
0.2287 |
0.2459 |
0.7951 |
||||||||||
|
1.20 |
0.1661 |
0.2189 |
|
2.25 |
0.2401 |
0.2520 |
|
||||||||||
|
1.25 |
0.1717 |
0.2212 |
0.9160 |
2.50 |
0.2494 |
0.2576 |
0.7663 |
||||||||||
|
1.30 |
0.1771 |
0.2236 |
|
2.75 |
0.2570 |
0.2626 |
|
||||||||||
|
1.35 |
0.1821 |
0.2254 |
|
3.00 |
0.2633 |
0.2672 |
|
||||||||||
|
1.40 |
0.1869 |
0.2273 |
|
3.50 |
0.2733 |
0.2751 |
|
||||||||||
|
1.45 |
0.1914 |
0.2289 |
|
4.00 |
0.2808 |
0.2817 |
0.7447 |
||||||||||
|
1.50 |
0.1958 |
0.2310 |
0.8590 |
4.50 |
0.2866 |
0.2870 |
|
||||||||||
|
1.60 |
0.2037 |
0.2343 |
0.8418 |
5.00 |
0.2914 |
0.2915 |
0.7430 |
||||||||||
|
1.70 |
0.2109 |
0.2375 |
|
10.00 |
0.3123 |
0.3123 |
|
||||||||||
|
图2 系数C1值与
图4 系数C3值与 |
|||||||||||||||||












































