|
游丝计算示例 |
|||
|
设计百分表用的接触游丝。已知总转角φmax=450°,为使接触游丝可靠地保持结构的力封闭,游丝在初转角90°所产生的力矩Tmin=54×10-3N·mm。根据游丝的安装空间选定D1=18mm,D2=4mm,游丝材料为铍青铜QBe2 |
|||
|
游丝设计计算 |
|||
|
项目 |
单位 |
公式及数据 |
|
|
参 数 计 算 |
游丝圈数n |
圈 |
由于游丝的转角较大,选取n=12 |
|
游丝宽厚比b/h |
|
考虑接触游丝对滞后和后效的要求较低,b/h值选取7.5 |
|
|
游丝长度L |
mm |
|
|
|
游丝厚度h |
mm |
圆整后取 h=0.12 |
|
|
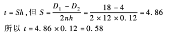
游丝螺距t |
mm |
|
|
|
验 算 |
L/h值 |
|
转角为π/2时,
|
|
S值 |
|
结论:游丝尺寸参数是合理的 |
|


