|
游丝的计算公式 |
|||||||||
|
项目 |
单位 |
公式及数据 |
备注 |
||||||
|
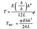
扭矩T |
N·mm |
|
T90°——φ=90°时的扭矩,N·mm φ——在扭矩T作用下游丝末端角位移,rad |
||||||
|
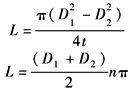
最大弯曲应力σw |
MPa |
|
D1——游丝外径,mm D2——游丝内径,mm σp——许用弯曲应力,MPa
式中 σb——抗拉强度,MPa Sσ——安全系数,其值如下表:
|
||||||
|
游丝长度L |
mm |
|
|||||||
|
游丝厚度h |
mm |
|
|||||||
|
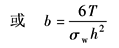
游丝宽度b |
mm |
b根据表游丝参数的选择中
|
|||||||
|
游丝螺距t |
|
|
|||||||
|
螺距系数S |
|
|
|||||||



