|
S形发条弹簧计算示例 |
||
|
设计手表用S形发条。已知R=5.28mm,要求其工作转数ng>7圈,最大输出力矩Tsmax=8.82N·mm,材料为19-9Mo,放松4圈后力矩变动率B≤0.2 |
||
|
项目 |
单位 |
公式及数据 |
|
发条厚度h |
mm |
外端选用V形固定,由表S形发条弹簧计算公式中表2查得Kσp=2800MPa,选用b=1.3mm
从表S形发条弹簧计算公式中表2可以看出,h在选用Kσp的厚度范围内,故Kσp选用合适 |
|
发条轴半径r |
mm |
r=mh,选m=11.5 r=mh=11.5×0.12=1.38≈1.4 |
|
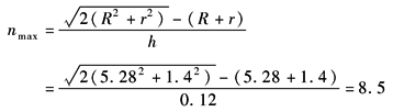
发条最大转数nmax |
圈 |
采用标准带盒发条,其最大工作转数nmax
|
|
实际工作转数ng |
圈 |
|
|
发条工作长度Lg |
mm |
|
|
力矩变动率校验B |
|
其值略大于要求值,可将Lg略加大解决,以B=0.2代入,求得Lg=355 |
|
根据修正后的Lg校验工作转数ng |
圈 |
此时已是非标准带盒发条
|
|
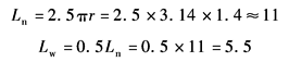
发条弹簧内端退火部分长度Ln 发条弹簧外端退火部分长度Lw |
mm |
|
|
发条总长度L |
mm |
|






