|
板弹簧的近似计算公式 |
|||||
|
板弹簧的类型 |
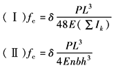
静挠度fc/mm |
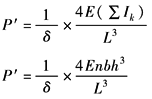
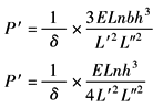
刚度P'/N·mm-1 |
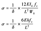
最大应力σ/MPa |
||
|
按静刚度 |
按载荷 |
||||
|
半 椭 圆 式 |
|
|
|
|
|
|
|
|
|
|
|
|
|
悬 臂 式 |
|
|
|
|
|
|
|
|
|
|
|
|
|
1/4 椭 圆 式 |
|
|
|
|
|
|
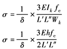
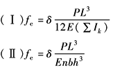
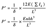
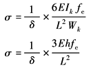
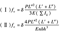
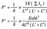
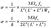
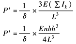
备 注 |
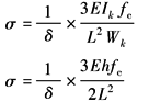
P—载荷,N;L—板弹簧的伸直长度,mm;Ik—板弹簧第k片的断面惯性矩,mm4;Wk—板弹簧第k片的断面模数,mm3;δ—挠度增大系数;E—弹性模量,MPa;b—叶片宽度,mm;h—叶片厚度,mm;n—叶片数目;L'、L"—中部固定处到两端的长度,mm;(Ⅰ)—叶片任意截面;(Ⅱ)—叶片为矩形截面 |
||||

























