|
单片碟形弹簧的计算公式 |
|||||||||||||||||||||||||||||||||||||||
|
项 目 |
单位 |
公 式 及 数 据 |
|||||||||||||||||||||||||||||||||||||
|
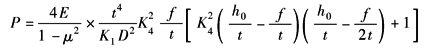
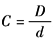
碟形弹簧载荷P |
N |
当f=h0,即碟形弹簧压平时,上式简化为
式中 P—— 单个弹簧的载荷,N Pc—— 压平时的碟形弹簧载荷计算值,N t—— 碟簧厚度,mm D—— 碟簧弹簧外径,mm f—— 单片碟形弹簧的变形量,mm h0—— 碟形弹簧压平时变形量的计算值,mm E—— 弹性模量,MPa μ—— 泊松比 K1、K4—— 见本表 |
|||||||||||||||||||||||||||||||||||||
|
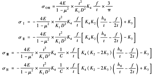
计算应力σOM、σⅠ,σⅡ,σⅢ,σⅣ |
MPa |
计算应力为正值时是拉应力,负值为压应力 式中 C—— 外径和内径的比值, σOM、σⅠ,σⅡ,σⅢ,σⅣ—— OM、Ⅰ、Ⅱ、Ⅲ、Ⅳ点的应力 K2、K3—— 见本表 |
|||||||||||||||||||||||||||||||||||||
|
碟形弹簧刚度P' |
N/mm |
|
|||||||||||||||||||||||||||||||||||||
|
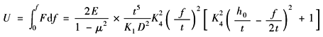
碟形弹簧变形能U |
N·mm |
|
|||||||||||||||||||||||||||||||||||||
|
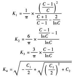
计算系数K1、K2、K3、K4 |
|
其中
计算系数K1、K2、K3的值也可根据
|
|||||||||||||||||||||||||||||||||||||
|
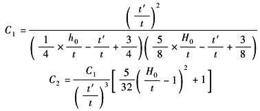
对于无支承面弹簧 K4=1 对于有支承面弹簧,K4按本表中K4的计算公式计算。为了使上面公式能适用于有支承面的碟簧,需将其厚度的计算值按右表减薄,然后以减薄的厚度t' 代替t 和以h'0=H'0-t 代替h0 |
有支承面碟簧厚度减薄量
|
||||||||||||||||||||||||||||||||||||||





