|
多股螺旋压缩弹簧计算示例 |
|||
|
项 目 |
单位 |
公 式 及 数 据 |
|
|
原 始 条 件 |
多股螺旋压缩弹簧中径D2 |
mm |
16 |
|
工作行程h |
mm |
20 |
|
|
安装载荷P1 |
N |
150 |
|
|
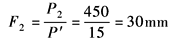
最大工作载荷P2 |
N |
450 |
|
|
参
数
计
算 |
钢丝直径d |
mm |
初选d=2 |
|
钢丝材料 |
|
A组碳素弹簧钢丝 |
|
|
剪切弹性模量G |
MPa |
80000 |
|
|
钢索股数m |
|
4 |
|
|
验算多股螺旋弹簧强度τ |
MPa |
由表多股螺旋压缩、拉伸弹簧设计主要公式中求γt及γb系数值的图查得
|
|
|
有效圈数n |
圈 |
故 |
|
|
弹簧总圈数n1 |
圈 |
两端各取1圈支承圈,故总的圈数n1 n1=n+2=13+2=15 |
|
|
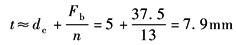
钢索直径dc |
mm |
dc=d2+d 从表多股螺旋压缩、拉伸弹簧几何尺寸计算,根据股数m=4及β=25°求出 d2/d=1.5 故d2=1.5×d=1.5×2=3 代入dc式 dc=3+2=5 |
|
|
钢索的节距tc |
mm |
|
|
|
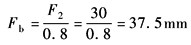
多股螺旋压缩弹簧的节距t |
mm |
从而得 取弹簧的压并变形
故节距 |
|
|
螺旋角α |
(°) |
|
|
|
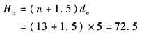
压并高度Hb |
mm |
|
|
|
自由高度H0 |
mm |
H0=Hb+Fb=72.5+37.5=110 |
|
|
弹簧外径D2 |
mm |
D2=D+dc=16+5=21 |
|
|
弹簧内径D1 |
mm |
D1=D-dc=16-5=11 |
|
|
钢索长度l |
mm |
l≈πDn1=3.14×16×15=754 |
|
|
每股钢丝长度L |
mm |
|
|





