|
多股螺旋压缩、拉伸弹簧设计主要公式 |
|||||||||||||||||||||||||||||||||||||||||||||||||||
|
项 目 |
单位 |
公 式 及 数 据 |
|||||||||||||||||||||||||||||||||||||||||||||||||
|
钢索拧紧前多股螺旋弹簧的变形F1 |
mm |
式中 i'—— 钢索拧紧前捻索系数, 也可根据拧角β按下表选取:
P—— 载荷,N n—— 有效圈数 m—— 股数 |
|||||||||||||||||||||||||||||||||||||||||||||||||
|
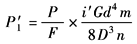
钢索拧紧前多股螺旋弹簧的刚度P'1 |
N/mm |
|
|||||||||||||||||||||||||||||||||||||||||||||||||
|
钢索拧紧时多股螺旋弹簧的变形FK |
mm |
式中 PK—— 拧紧载荷,N 其他符号同前 |
|||||||||||||||||||||||||||||||||||||||||||||||||
|
钢索拧紧后多股螺旋的续加变形Fc |
mm |
式中 i"—— 钢索拧紧后续加变形阶段捻索系数
其中γ与β的关系根据m不同如以下两表所示: 当股数m=3时
当股数m=4时
i"也可根据不同m按以下两表选取: 当股数m=3时
当股数m=4时
|
|||||||||||||||||||||||||||||||||||||||||||||||||
|
多股螺旋弹簧总的变形F |
mm |
式中 i—— 综合捻索系数, i也可根据β及PK/P按下图选取: |
|||||||||||||||||||||||||||||||||||||||||||||||||
|
|
例如查PK/P=0.2,β=30°时 A点和B点,过A和B点分别做横坐标的平行线与两边纵坐标轴分别交于C点和D点。连接C和D,从上部横坐标PK/P=0.2处向下做垂线与CD线处交于E。过E点 做横坐标平行线与纵坐标轴 |
||||||||||||||||||||||||||||||||||||||||||||||||||
|
钢索拧紧后多股螺旋弹簧的刚度P' |
N/mm |
|
|||||||||||||||||||||||||||||||||||||||||||||||||
|
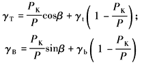
应力τ |
MPa |
式中 其中
而γt及γb可根据β及m按下图选取:
系数γb和γt值 |
|||||||||||||||||||||||||||||||||||||||||||||||||



