|
空气设备最大耗气均值的计算 |
|||||||
|
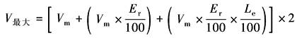
耗气均值Vm(L/s)可以通过下面的公式得出
式中 i——操作变量; n——不同耗气设备的数量; Ai——耗气设备数量; Vi——每台设备的耗气量,L/s; CDi——负载循环,%,见下表1; SFi——同时性因数,见下表2; Vm——耗气均值,L/s 对上式进行修正后得到空气设备最大耗气量计算式
式中 Er——为将来系统扩容预留出的消耗量,如35%; Le——容许的泄漏值,如10%; V最大——最大耗气量 流量翻一番(×2)的目的是平衡设备在高峰负载时的耗气值。经验表明,空气的耗气均值在其最大耗气量的20%~60%之间 |
|||||||
|
表1 |
|||||||
|
耗气设备 |
钻头 |
研磨机 |
凿锤 |
冲压机 |
注塑机 |
发爆机 |
气动拧紧工具 |
|
CD/% |
30 |
40 |
30 |
15 |
20 |
10 |
80 |
|
表2 |
||||||||||||||||
|
耗气设备数量 |
1 |
2 |
3 |
4 |
5 |
6 |
7 |
8 |
9 |
10 |
11 |
12 |
13 |
14 |
15 |
100 |
|
SF |
1 |
0.94 |
0.89 |
0.86 |
0.83 |
0.80 |
0.77 |
0.75 |
0.73 |
0.71 |
0.69 |
0.68 |
0.67 |
0.66 |
0.65 |
0.20 |


