|
液压控制阀的结构原理和应用 |
|||||||||||||||||||||||||||||||||||||||
|
分类 |
组成与结构 |
工作原理 |
特点 |
||||||||||||||||||||||||||||||||||||
|
溢流阀 |
直动型溢流阀 |
图中所示为锥阀座阀芯结构,此外还有球阀座结构及滑阀座结构 |
如左图当系统中压力低于弹簧调定压力时,阀不起作用,当系统中压力超过弹簧所调整的压力时,锥阀被打开,油经溢油口回油箱。这种溢流阀称为直接动作式溢流阀。其压力可以进行一定程度的调节 |
压力受溢流量变化的影响较大,调压偏差大,不适于在高压、大流量下工作 阻力小,动作比较灵敏,压力超调量较小,宜在需要缓冲、制动等场合下使用 结构简单,成本低 |
|||||||||||||||||||||||||||||||||||
|
先导型溢流阀 |
上图所示为芯平衡活塞式(三节同心式)溢流阀,由主阀和先导阀两部分组成 单向阀式(二节同心式)溢流阀结构,如下图
|
如图设进油压力为p2,通过阻尼孔后,压力为p1,p2作用面积为a,p1作用面积为A,主阀弹簧力为F。当系统中压力p2低于弹簧d调定压力时,即Ap1小于弹簧d的作用力,先导阀b未打开,此时,p1=p2,Ap1+F>ap2,阀不溢流。当系统中压力p2,也即p1大于或等于弹簧d的压力时,先导阀b打开,压力油通过主阀轴向的阻尼孔流入油箱。由于阻尼孔的作用,此时p1<p2,Ap1+F<ap2,主阀向上提起,油从溢流口流回油箱 |
调整弹簧d的压力,即可调整溢流阀的溢流压力 平衡活塞式溢流阀的压力滞后现象小,振动也较直接动作式小,能够正常操作和无载荷操作,如果加工精度高,则稳定性较好,但超调(启动时的最高压力超过所需的调整压力)幅度大,动作迟缓。加工精度要求高,成本高 单向阀式溢流阀的工艺性好,加工、装配精度容易保证,结构简单。主阀为单向阀结构,过流面积大,流量大,阀的启闭特性好。阀性能稳定,噪声小 |
||||||||||||||||||||||||||||||||||||
|
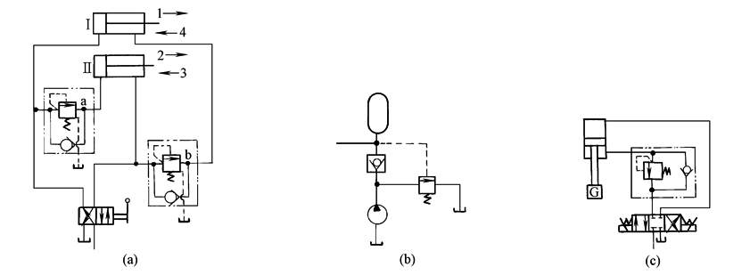
应用: (1) 作为安全阀防止液压系统过载 溢流阀用于防止系统过载时,此阀是常闭的,如图a。当阀前压力不超过某一预调的极限时,此阀关闭不溢油。当阀前压力超过此极限值时,阀立即打开,油即流回油箱或低压回路,因而可防止液压系统过载。通常安全阀多用于带变量泵的系统,其所控制的过载压力,一般比系统的工作压力高8%~10% (2) 作为溢流阀使液压系统中压力保持恒定 在定量泵系统中,与节流元件及负载并联,如图b。此时阀是常开的,常溢油,随着工作机构需油量的不同,阀门的溢油量时大时小,以调节及平衡进入液压系统中的油量,使液压系统中的压力保持恒定。但由于溢流部分损耗功率,故一般只应用于小功率带定量泵的系统中。溢流阀的调整压力,应等于系统的工作压力 (3) 远程调压 将远程调压阀的进油口和溢流阀的遥控口(卸荷口)连接,在主溢流阀的设定压力范围内,实现远程调压,如图c (4) 作卸荷阀 用换向阀将溢流阀的遥控口(卸荷口)和油箱连接,可以使油路卸荷,如图d (5) 高低压多级控制 用换向阀将溢流阀的遥控口(卸荷口)和几个远程调压阀连接时,即可实现高低压的多级控制 (6) 作顺序阀用 将溢流阀顶盖加工出一个泄油口,而堵死主阀与顶盖相连的轴向孔,如图e,并将主阀溢油口作为二次压力出油口,即可作顺序阀用 (7) 卸荷溢流阀 一般常用于泵、蓄能器系统中,如图f。泵在正常工作时,向蓄能器供油,当蓄能器中油压达到需要压力时,通过系统压力,操纵溢流阀,使泵卸荷,系统就由蓄能器供油而照常工作;当蓄能器油压下降时,溢流阀关闭,油泵继续向蓄能器供油,从而保证系统的正常工作 (8) 作制动阀 对执行机构进行缓冲、制动 (9) 作加载阀和背压阀
|
|||||||||||||||||||||||||||||||||||||||
|
减压阀 |
减 压 阀 |
图中所示为先导型减压阀,主阀为滑阀式。还有的主阀为单向阀式结构 |
如左图,滑阀在弹簧作用下处于下部位置,油流从入口经阀体和滑阀的开口部分由出口流出,此时从出口侧也有一部分二次压力油经滑阀端部和中间阻尼小孔进入操纵部分。当出口压力超过设定压力时,打开先导阀,油从泄油口流入油箱,滑阀上部油腔油压降低,滑阀向上移动,减小阀体和滑阀的开口度,从而降低出口压力至新的平衡位置,先导阀关闭,自动保证出口压力一定 |
先导阀上的遥控口,需要时可以接上远程调压阀,实现远程调压 单向减压阀,由减压阀和单向元件组成,其作用与减压阀相同。但反向油流由单向元件自由通过,不受减压阀的限制,如左下图 |
|||||||||||||||||||||||||||||||||||
|
单向减压阀 |
|
||||||||||||||||||||||||||||||||||||||
|
应用: (1) 减压阀是一种使阀门出口压力(二次油路压力)低于进口压力(一次油路压力)的压力调节阀。一般减压阀均为定压式,减压阀的阀孔缝隙随进口压力变化而自行调节,因此能自动保证阀的出口压力为恒定 (2) 减压阀也可以作为稳定油路工作压力的调节装置,使油路压力不受油源压力变化及其他阀门工作时压力波动的影响 (3) 减压阀根据不同需要将液压系统区分成不同压力的油路,例如控制机构的控制油路或其他辅助油路,以使不同的执行机构产生不同的工作力 (4) 减压阀在节流调速的系统中及操作滑阀的油路中广泛应用。减压阀常和节流阀串联在一起,用以保证节流阀前后压力差为恒定,流过节流阀的油量不随载荷而变化 (5) s应用时,减压阀的泄油口必须直接接回油箱,并保证泄油路畅通。如果泄油孔有背压时,会影响减压阀及单向减压阀的正常工作 |
|||||||||||||||||||||||||||||||||||||||
|
顺序阀 |
顺序阀 |
图中所示为直动型,还有先导型 |
如左图,当顺序阀的滑阀下端活塞所受的油压力大于上端弹簧的作用力时,滑阀就上升,顺序阀打开,油由下部孔进入,上部孔流出 各种形式的顺序阀进油口都在下边,其操作方式有直控操纵和遥控操纵两种,泄油方式有内部泄油和外部泄油两种。部分顺序阀的结构设计上,可以通过改变阀门上盖的方位来实现内、外部泄油,通过改变底盖的方位来实现直控、遥控操纵 |
遥控(液动)顺序阀与直控顺序阀的不同点,在于直控顺序阀可以直接利用进口油路的压力来控制滑阀的开启,而遥控(液动)顺序阀则必须由控制油路的油压来控制(即所谓远程压力控制)滑阀的开启,在远程压力未达到顺序阀所预调的压力以前,此阀关闭 如将遥控顺序阀的二次压力油路通回油箱,则构成卸荷阀。泄油口一般必须通回油箱,因此阀的二次压力油路如果是接回油箱的,便可以是内部泄油,否则必须是外部泄油,其泄油口应单独接回油箱 |
|||||||||||||||||||||||||||||||||||
|
单向顺序阀 |
|
||||||||||||||||||||||||||||||||||||||
|
应用: 顺序阀是利用油路的压力来控制油缸或油马达顺序动作,以实现油路系统的自动控制。在进口油路的压力没有达到顺序阀所预调的压力以前,此阀关闭;当达到后,阀门开启,油液进入二次压力油路,使下一级元件动作。其与溢流阀的区别,在于它通过阀门的阻力损失接近于零 顺序阀内部装有单向元件时,称为单向顺序阀,它可使油液自由地反向通过,不受顺序阀的限制,在需要反向的油路上使用单向顺序阀较多 (1) 控制油缸或油马达顺序动作 直控顺序阀或直控单向顺序阀可用来控制油缸或油马达顺序动作,如图a。当油缸的左端进油时,油缸“Ⅰ”先向右行到终点,油路的压力增高,使顺序阀a打开,油缸“Ⅱ”即开始向右行,反之亦然,其动作顺序如图中1、2、3、4所示。如果图中的单向阀与顺序阀在一个阀体中,便是单向顺序阀 (2) 作普通溢流阀用 将直控顺序阀的二次压力油路接回油箱,即成为普通起安全作用的溢流阀 (3) 作卸荷阀用 如图b,作蓄能器系统泵的自动卸荷用 (4) 作平衡阀用 用来防止油缸及工作机构由于本身重量而自行下滑,图c 遥控顺序阀及遥控单向顺序阀,其应用原理与直控相似,不过控制阀门的开启不是由主油路的压力操纵,而是由另外的控制油路来操纵
|
|||||||||||||||||||||||||||||||||||||||
|
压力继电器 |
|
一般分滑阀式(柱塞式)、弹簧管式、膜片式和波纹管式四种结构型式 图中所示为单触点柱塞式 |
滑阀式结构原理如左图,压力油作用在压力继电器底部的柱塞上,当液压系统中的压力升高到预调数值时,液压力克服弹簧力,推动柱塞上移,此时柱塞顶部压下微动开关的控制电路的触头,将液压信号转换为电气信号,使电气元件(如电磁阀、电机、电磁溢流阀和时间继电器等)动作,从而实现自动程序控制和安全作用 |
||||||||||||||||||||||||||||||||||||
|
应用: (1) 在压力达到设定值时,使油路自动释压或反向运动(通过电磁阀控制) (2) 在规定范围内若大于调定压力,则启动或停止液压泵电动机 (3) 在规定压力下,使电磁阀顺序动作 (4) 作为压力的警号或信号、安全装置或用以停止机器 (5) 油压机中启动增压器 (6) 启动时间继电器 (7) 在主油路压力降落时,停止其辅助装置 (8) PF型压力继电器可作为两个高低压力间的差压控制装置 |
|||||||||||||||||||||||||||||||||||||||
|
节流阀 |
节流阀 |
|
由节流口和调节节流口大小的装置组成 |
左图属于轴向三角槽式节流结构。当调整调节手轮或旋转调节套时,阀芯作轴向移动,节流开口大小改变,从而调节流量 |
结构简单、制造和维护方便 使用节流阀调节流量是有条件的,即在定量泵系统中,节流阀必须与溢流阀等并联,以补偿节流阀的流量变化 这种阀一般没有压力、温度补偿装置 节流阀只适用于载荷变化不大或对速度稳定性要求不高的液压系统中 |
||||||||||||||||||||||||||||||||||
|
单向节流阀 |
|
单向节流阀由单向阀与节流阀组合而成。适用于液流在一个方向上可以控制流量,当液流反向流动时,单向阀被开启 |
|||||||||||||||||||||||||||||||||||||
|
应用: 节流阀是简易的流量控制阀,它的主要用途是接在压力油路中,调节通过的流量,以改变液压机的工作速度。这种阀门没有压力补偿及温度补偿装置,不能自动补偿载荷及油黏度变化时所造成的速度不稳定,但其结构简单紧凑,故障少,一般油路中应用可以满足要求 单向节流阀只在一个方向起调速作用,反向液流可以自由通过,若要求调节反向速度时,必须另接入一个节流阀,通过分别调节,可以得到不同的往复速度 节流阀及单向节流阀在回路上的应用方法一般有,进口节流、出口节流和旁路节流三种 |
|||||||||||||||||||||||||||||||||||||||
|
调速阀 |
调速阀 |
由定差减压阀与节流阀串联组成
|
压力为p1的压力油液经滑阀到节流阀前的压力为p2,节流阀后的压力为p3,设滑阀端面积为a,则 作用于滑阀右端的力 F1=ap2 作用于滑阀左端的力F2=ap3+R 式中 R——弹簧力 当滑阀平衡时,F1=F2,即ap2=ap3+R
当p3值增加时,则F2>F1,使滑阀向右移动,开口增大,压力降减小,使p2增高,保持p2-p3为一定值。此处,压力补偿装置,就是使p1和p3的变化,不至于影响到节流阀前后的压力差,保证通过节流阀的流量为恒定 |
||||||||||||||||||||||||||||||||||||
|
单向调速阀 |
由单向阀和调速阀组成。压力油从A腔进入阀后,先经减压阀减压,再由节流阀节流,由B腔流出调速阀,反向油液经开启的单向阀从B腔到A腔流出调速阀
|
节流窗口设计成薄刃状,流量受油的黏度变化的影响小 左图阀中的减压阀无弹簧端处装有行程调节器,经调整可以防止阀突然投入工作时出现的流量跳跃现象 当此阀与整流板叠加时,可以实现同一回路的双向流量控制 |
|||||||||||||||||||||||||||||||||||||
|
应用: 调速阀在定量泵液压系统中与溢流阀配合组成进油、回油或旁路节流调速回路。还可组成同一执行元件往复运动的双向节流调速回路和容积节流调速回路 调速阀适用于执行元件载荷变化大,而运动速度稳定性又要求较高的液压系统 |
|||||||||||||||||||||||||||||||||||||||
|
行程控制阀 |
单 向 行 程 节 流 阀 |
单向行程节流阀原理 单向行程调速阀原理 |
|||||||||||||||||||||||||||||||||||||
|
单 向 行 程 调 速 阀 |
|||||||||||||||||||||||||||||||||||||||
|
应用: 行程控制阀串联在液压缸的回路中,用来自动限制液压缸的行程和运动速度,避免冲击以达到精确定位。液压缸或工作机构在行进到规定位置时,工作机构上的控制凸块将行程控制阀逐步关闭,使液压缸在终点前逐渐减速停止(行程节流阀)或改变进入液压缸的油量,使速度降低(行程调速阀) 单向行程控制阀使回程油液能自由通过 |
|||||||||||||||||||||||||||||||||||||||
|
分流集流阀 |
分
流
阀 |
换向活塞式分流-集流阀的结构原理图如上图中所示。根据液流方向,可分为分流阀、集流阀和分流集流阀;根据结构和工作原理,可分为换向活塞式、挂钩式、可调式和自调式 |
分流集流阀是利用载荷压力反馈的原理,来补偿因载荷压力变化而引起流量变化的一种流量控制阀。但它只控制流量的分配,而不控制流量的大小 左图阀分流时,因p>pa(或pb),此压力差将换向活塞分开处于分流工况。当外载荷相同,即pA=pB时,pa也就等于pb,阀芯处于中间对称位置,节流孔前后压差相等(即p-pa=p-pb),故QA=QB。当外载荷不相同时,如pA增加,引起pa瞬时增加,由于pa>pb,阀芯右移,于是左边分流节流口开大,右边分流节流口关小,这样使pa又减小,使pb增加,直到pa=pb时,阀芯停在一个新的位置上,使得p-pa又等于p-pb,QA又等于QB,仍能保证执行元件同步。集流时,因p-pa(或pb),两个换向活塞合拢处于集流工况,其等量控制的原理与分流时相同 |
分流集流阀的压力损失比较大,故不适用于低压系统 分流集流阀在动态时不能保证速度同步精度,故不适用于载荷压力变化频繁或换向工作频繁的系统 分流集流阀内部各节流孔相通,当执行元件在行程中需要停止时,为了防止执行元件因载荷不同而相互窜油,应在油路上接入液控单向阀 |
|||||||||||||||||||||||||||||||||||
|
集
流
阀 |
|||||||||||||||||||||||||||||||||||||||
|
分 流 集 流 阀 |
|||||||||||||||||||||||||||||||||||||||
|
应用: 分流集流阀在液压系统中可以保证2~4个执行元件在运动时的速度同步 使用分流集流阀应注意正确选用阀的型号和规格,以保证适宜的同步精度。安装时应保持阀芯轴线在水平位置,切忌阀芯轴线垂直安装,否则会降低同步精度。串联连接时,系统的同步精度误差一般为串联的各分流集流阀速度同步误差的叠加值;并联连接时,速度同步误差一般为其平均值 |
|||||||||||||||||||||||||||||||||||||||
|
分流集流阀 |
分流集流阀性能比较
|
||||||||||||||||||||||||||||||||||||||
|
单向阀 |
单 向 阀 |
|
单向阀有直通式和直角式两种,结构及工作原理如左图。直通式结构简单,成本低,体积小,但容易产生振动,噪声大,在同样流量下,它的阻抗比直角式大,更换弹簧不方便 |
||||||||||||||||||||||||||||||||||||
|
液压操纵单向阀 |
|
是由上部锥形阀和下部活塞所组成,在正常油液的通路时,不接通控制油,与一般直角式单向阀一样。当需要油液反向流动时,活塞下部接通控制油,使阀杆上升,打开锥形阀,油液即可反向流动 |
|||||||||||||||||||||||||||||||||||||
|
应用: 单向阀用于液压系统中防止油液反向流动。也可作背压阀用,但必须改变弹簧压力,保持回路的最低压力,增加工作机构的运动平稳性。液控单向阀与单向阀相同,但可利用控制油开启单向阀,使油液在两个方向上自由流动 |
|||||||||||||||||||||||||||||||||||||||
|
换 向 阀 |
电磁换向阀 |
电磁换向阀是实现油路的换向、顺序动作及卸荷的液压控制阀,是通过电气系统的按钮开关、限位开关、压力继电器、可编程控制器以及其他元件发出的电信号控制的 |
|||||||||||||||||||||||||||||||||||||
|
电磁换向阀的电磁铁有交流、直流和交流本整型三种,又分干式和湿式。直流电磁换向阀的优点是换向频率高,换向特性好,工作可靠度高,对低电压、短时超电压、超载和机械卡住反应不敏感。交流电磁换向阀(非本整型)的优点是动作时间短,电气控制线路简单,不需特殊的触头保护;缺点是换向冲击大,启动电流大,线圈比直流的易损坏。湿式电磁铁具有良好的散热性能,工作噪声也小。无论干式或湿式电磁铁,直流的使用寿命总要比交流的长 |
|
||||||||||||||||||||||||||||||||||||||
|
图中所示为滑阀阀芯,它借助于电磁铁吸力直接被推动到不同的工作位置上。还有以钢球作为阀芯的,电磁铁通过杠杆推动球阀,使其推力放大3~4倍,以适应高的工作压力,允许背压也高,适宜在高压、高水基介质的系统中使用 电磁换向阀电源电压有多种等级,直流的常用24V、交流的常用220V。对电源要求如下: (1)直流电磁铁对电源要求 1) 稳压源、蓄电池或桥式全波整流装置等电源装置只要容量满足要求都能使直流电磁铁可靠地工作 2) 在桥式全波整流装置的输出端,不需并联滤波电容。因直流电磁铁的线圈本身就带有电感性质,而容量不足的滤波电容反而会造成电磁铁输入电压的下降 3) 电磁铁通断的开关应安装在直流输出端,以免切断电源时整流电路成为电磁铁线圈的放电回路,延长电磁铁的释放时间 4) 为保护开关触点,用户往往在直流电磁铁线圈两端并接放电二极管,此法会延长电磁铁释放时间,在要求释放时间短的场合,可并接与输入电压相匹配的压敏电阻 (2) 交流电磁铁对电源要求 1) 电源电压要求尽量稳定。由于交流电磁铁的吸力与电源电压的平方成正比,电压增高10%,吸力增大21%。电压下降10%,吸力减小19% 2) 由于交流电磁铁的吸力和电源频率的平方成正比,而涡流损耗又与电源频率的平方成正比,因此50Hz、60Hz的阀用电磁铁尽管额定电压一致,也不能互换使用 3) 由于交流电磁铁启动电流大于吸持电流,在选择电源容量、特别是在选择控制变压器容量时,必须考虑这一因素 |
|||||||||||||||||||||||||||||||||||||||
|
液动换向阀 |
|
液动换向阀是利用控制油路改变滑阀位置的换向阀 可调式液动换向阀是在阀体上装有单向节流元件,以调节控制油路的油量,来调节换向时间 |
|||||||||||||||||||||||||||||||||||||
|
电液换向阀 |
由电磁换向阀和液动换向阀组成
|
电液换向阀由电磁阀起先导控制作用,液动换向阀进行油路换向、卸荷及顺序动作 电液换向阀的换向快慢,可用控制油路中的节流阀(阻尼器)来调节,以避免液压系统的换向冲击。一般适用于流量较大的液压系统中,使用电源要求与电磁换向阀相同 |
|||||||||||||||||||||||||||||||||||||
|
机动换向阀 |
|
是利用机械的挡块或凸轮压住或离开行程滑阀的滚轮,以改变滑阀的位置,来控制油流方向 一般为二位的或三位的,并有各种不同的通路数 |
|||||||||||||||||||||||||||||||||||||
|
手动换向阀 |
|
是用手动杠杆操纵的方向控制阀。手动换向阀分为自动复位及弹跳机构定位。左图为弹簧复位式 |
|||||||||||||||||||||||||||||||||||||
|
多路换向阀 |
|
多路换向阀集中式手动换向阀的组合,阀由2~5个三位六通手动换向阀、溢流阀、单向阀组成。有螺纹连接的公共进油口和回油口,各个控制阀有两个工作油孔以连接液压缸或液压马达。阀门分为自动复位式及弹跳定位式 根据用途的不同,阀在中间位置时,主油路有中间全封闭式、压力口封闭式及B腔常闭式等,中间位置时压力油短路卸荷。各个阀组成串联式油路时阀必须顺序操作 |
|||||||||||||||||||||||||||||||||||||
|
换向阀 |
应用: 主要用于起重运输车辆、工程机械及其他行走机械。用以进行多个工作机构的集中控制 滑阀机能:是指换向滑阀在中间位置或原始位置时,阀中各油口的连通型式。滑阀机能有很多种,常见的三位四通换向阀的滑阀机能有O、H、Y、K、M、X、P、J、C、N、U等。采用不同滑阀机能会直接影响执行元件的工作状态,正确选择滑阀机能是十分重要的。引进国外技术生产的产品,其滑阀机能与国内产品有所不同,选用时应注意查阅产品说明书 |
||||||||||||||||||||||||||||||||||||||
|
压力表开关 |
压力表开关是小型的截止阀,主要用于切断或接通压力表和油路的连接。通过开关起阻尼作用,减轻压力表急剧跳动,防止损坏。也可作为一般截止阀应用。压力表开关,按其所能测量的测量点的数目,可分为一点的及多点的。多点压力表开关可以使压力表和液压系统1~6个被测油路相通,分别测量1~6点的压力 |
||||||||||||||||||||||||||||||||||||||
|
二 通 插 装 阀 |
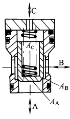
二通插装阀由插装元件、控制盖板、先导控制元件和插装块体四个部分组成。 适用于流量大于160L/min的液压系统或高压力、较复杂、采用高水基工作液的液压系统 采用二通插装阀可以显著地减小液压控制阀组的外形尺寸和重量 由于二通插装阀组成的系统中使用电磁铁数量比普通液压控制阀组成的液压系统多,控制也较复杂,所以二通插装阀不适合小流量、动作简单的液压系统 下图所示为方向控制用插装元件,又称主阀组件,由阀芯、阀套、弹簧和密封件组成。油口为A、B,控制口为C。压力油分别作用在阀芯的三个控制面AA、AB、AC上。如果忽略阀芯的质量和阻尼力的影响,作用在阀芯上的力平衡关系式为 Pt+Fs+pCAC-pBAB-pAAA=0 式中 Pt——作用在阀芯上的弹簧力,N; Fs——阀口液流产生的稳态液动力,N; pC——控制口C的压力,Pa; pB——工作油口B的压力,Pa; pA——工作油口A的压力,Pa; AA、AB、AC——三个控制面的面积,m2
当控制口C接油箱卸荷时,若pA>pB,液流由A至B;若pA<pB,液流由B至A 当控制口C接压力油时,若pC≥pA、pC≥pB,则油口A、B不通。由此可知,它实际上相当于一个液控二位二通阀 压力、流量控制用插装元件的阀芯和左图结构有所不同 插装元件插装在阀体或集成块中,通过阀芯的启闭和开启量的大小,可以控制主回路液流的通断、压力高低和流量大小 |
||||||||||||||||||||||||||||||||||||||

























