|
浓密机机座柔性底板(托盘)的设计 |
|
浓密机机座的底板像个大圆盘,表大型容器支架曾谈到机座的设计按板结构计算中图。对一个直径达12m或以上的圆盘,底板的厚度最少要16mm。除了有许多必需的放射状径向梁外,还要有一些辅助的梁和肋板。如采用索线的理论来设计计算,只需要厚度为4mm的钢板来作底板,且免除了一些辅助的梁和肋板,大大地节省了材料 (1)理论依据 由于浓密机为中心搅拌式,机器的重量由机座两侧的立架承受,机器不直接与底板相接触,底板只承受所盛液体的重量和液体的搅动,给出了用索线的理论来设计计算的保证
设 R——底板外半径,cm(见上图); n——放射状径向梁根数; l0——外径梁中心的弧距,cm; l——外径梁中心的弦距,cm; θ——两相邻径向梁中心的夹角之半 则θ=π/n得: 两者相差不大。取外径径向1cm宽一条底板,展开如图a。如图b所示,索线的计算公式为:
式中 f——索线中点的垂度,即最大垂度,cm; q——底板上的均布载荷,N/cm2;
h——底板上液体高度,m; ρ——液体的密度,g/cm3; g——重力加速度,g=980cm/s2; H——板中的周向1cm水平拉力,由于悬线与水平所成的角度很小,该水平拉力即可以作为板中的拉力,N/cm; 而 σp——钢板的许用应力,N/cm2; δ——钢板的实际厚度,cm。 因此,只要外形与结构布置确定以后,根据钢板的许用应力σp的大小,将上式代入式(1)即可确定钢板的实际厚度δ与最大垂度f的关系:
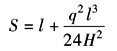
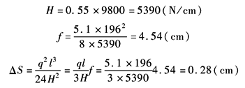
(2)钢板垂度的设置 1)索线的长度S为:
因此,钢板的周向最外面直径处应增长:
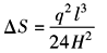
式(2)与式(3)中,随直径的变化q的变化不大;而l随直径的变小成正比地减小;f与ΔS就更迅速地减小 2)在下面的情况下,钢板是可以不先设垂度的 由于钢板周向全部受到H的拉力,其变形量(增长量)为:
式中 E——材料的弹性模量,N/cm2; A—一小条钢板的截面积;A=δ,cm2/cm 因底呈圆锥状,在两根梁之间AB弦处本来就应该有下垂度(见表输送机钢丝绳机架的静力计算中图b),按计算为:
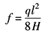
因此,①如果由式(5)算得的垂度大于或等于由式(2)算得的垂度(一般来说垂度f0都很小);或②如果由式(4)算得的变形量ε等于或大于式(3)钢板因垂度要求的增长量,则钢板是可以不先设垂度的(但必须能让搅拌叶片通过)。最好是使AB弧也有相等的垂度(虽然AB弧与AB弦是并不相等的,但因为AB弧在最周边,可强力固定的) (3)举例 例1 D=15的浓密机机座,设了24根放射状径向梁,外圈处液体高4m,液体的密度为1.3g/cm3,底板的设计如下
取钢板厚度6mm,钢板的实际厚度δ=0.55cm,取钢板的许用应力σp=9800N/cm2,则
按变形量计算: 圆锥的垂度为 ε<ΔS,因此设计时外径处预先设置钢板的垂度4.5cm(即比形成圆锥还要大31mm的垂度)。此时,钢板的长度仅增加0.28cm。在直径为1/2的位置,只要设置钢板垂度4.5×0.52=1.1cm 说明:本设计是保守的设计。实际上,可以采用厚度为4mm的钢板,其实际厚度δ=0.37cm。此时,f=4.54×5.5/3.7=6.75cm;ΔS=0.28×(5.5/3.7)2=0.62cm。底钢板厚度为4mm的及底钢板厚度为6mm的储槽都已在工程中应用 例2 D=12m,h=1.7m,16根放射状径向梁,液体的密度为1.3g/cm3。取钢板厚度4mm,钢板的实际厚度δ=0.37cm,取钢板的许用应力σp=12700N/cm2,求得:
由式(2), 由式(5),f0=600×tan10°(1-cos180°/16)=2.0(cm)
而按变形量计算
变形量ε>ΔS(或f>f0)已可弥补钢板的垂度,设计时外径处不必预先设置钢板的垂度。本设计也已在工程中应用 (4)注意事项 ① 钢板的径向焊缝最好布置在梁上,并且必须有足够的强度。如径向焊缝布置在梁与梁之间,则要计算焊缝的强度降低系数 ② 底板外径处与侧板的连接要有适当的强度,特别是在不预先设置钢板垂度的情况下。一般来说,有一定的加固就可以了 |









