|
肋板的刚度计算 |
|||||||||
|
(1)有横隔板框架的弯曲计算 ① 如图1,当横隔板厚度t1对框架长度l的比值很小时,横隔板的数目及厚度对抵抗垂直载荷的能力是很小的。这种框架的弯曲刚度主要取决于平行中性轴的两块纵向侧板。考虑到隔板对侧壁的支承作用,刚度计算时,两块侧壁可不作为简支梁而作为两端固定梁来计算 垂直变形为: 式中 F——框架上的集中力; l——支架总长度; 其他参数见图 ② 当图1框架承受侧向(x向)载荷时,框架的刚度和横隔板数目与壁厚有关。实验表明,在横隔板尺寸给定的条件下,框架的变形随着隔板数目n的增加而减小。见实验公式(1):
式中 a——常数,a=140.8; b——常数,b=-1.224
式中 l1——隔板之间的距离; l——框架长度
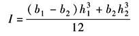
图1 横隔板框架 (2)横隔板底座的弯曲计算 如图2为带有面板的横隔板框架,可以把它看作是由两种梁组成的。即图2b分解为图c、d,当隔板的数目为n时,底座的惯性矩为(以长边l为支承边时):
式中 I1——图d梁的截面惯性矩,mm4; I2——图c梁的截面惯性矩,mm4 垂直变形为: 若以短边b为支承边时,则 垂直变形为: 此时计算I仅考虑面板和两长边侧板组成的惯性矩
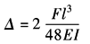
图2 横隔板底座的弯曲计算简图 (3)对角肋和横隔板结构的扭转计算 ①对角肋的扭转刚度 图3b以两根交叉的对角肋作为分离体,则它分别承受着方向相反的作用力F,此分离体产生如图c的变形Δ,则可按简支梁的计算公式求得:
式中 l——对角肋的长度; I——对角肋的截面惯性矩 结构所受的扭矩T为:
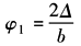
对角肋的弯曲变形而使结构产生的扭转角φ1为:
以l=
图3 45°对角肋受力和变形分析 如果结构如图4所示,由n个对角肋并联,扭矩T作用于长边,则并联对角肋的总扭转角为:
如果结构由n个对角肋串联,扭矩T作用于短边,则串联对角肋的总扭转角为:
② 侧壁的扭转刚度 设矩形侧壁高h,厚t,长度l=nb,则两块侧壁的扭转角为:
式中 G——材料的切变模量; k——矩形截面扭转常数,即扭转截面惯性矩I=kt3h中的常数,见下表; n——对角单元数 k值 |
|||||||||
|
h/t |
1 |
1.5 |
2 |
3 |
4 |
6 |
8 |
10 |
∞ |
|
k |
0.141 |
0.196 |
0.229 |
0.263 |
0.281 |
0.299 |
0.307 |
0.313 |
0.333 |
|
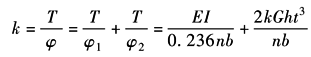
图4 对角肋的单元组件 ③ 对角肋框架总的扭转刚度k等于对角肋和侧壁两者刚度的代数和:
则对角肋框架的扭转角为:
(4)横隔板框架的扭转刚度 如图1,横隔板对扭转阻抗影响很小,这种框架的扭转阻抗,主要取决于两纵向侧壁,两侧壁的扭转刚度按公式(4)计算 (5)十字肋的刚度 如图5,十字肋的惯性矩为:
在设计十字肋梁时应考虑与矩形梁比较:在提高强度和刚度时应使材料用得最少。一般b2/b1应取小一些(0.3以下),h1/h2应适当(一般0.2左右)
图5 十字肋结构 (6)T形肋板(图6) 结构可分成许多T形单元来计算(如图6b),每个单元相当于图2中的d图
图6 T形肋结构 同十字肋板一样,也要分析T形断面的参数尺寸的比例,以求得在强度和刚度都较好而材料最节约的断面 对于三角肋,可看作多T形肋的特例,每个不同断面都可视作高度不同的T形肋来计算。为了减少三角肋的应力集中,实用的三角肋应去掉锐角,如图7
图7 常见的实用三角肋结构 |
|||||||||












