|
强化设计及实例 |
|
强化设计是指在相同材质、尺寸、精度下,通过设计的方法,达到提高强度的目的。其主要途径如下 1) 采用优质材料 2) 加大齿轮尺寸(见表主要尺寸的初步确定中表1,取较大d1值) 3) 采用先进的齿形制,例如采用高变位x1>0,强化较弱的小齿轮;用正传动变位代替零传动的高变位(x2不必取负值,而是大幅度地加大x1,如x1>1) 其中第三种办法是比较可取的办法 强化设计可有三种效果:①体积不变,增大强度;②强度不变,缩小体积;③既增大强度,又缩小体积。实例如下 已知:有一中型轮式拖拉机中央传动的曲齿锥齿轮,传递额定转矩T1=572N·m,βm=5.5°,u=3.77。由多缸柴油机驱动,齿轮 用20CrMnTi渗碳淬火,齿面硬度58~62HRC,齿宽系数 长工作寿命的设计 设计步骤如下 (1) 按初步设计及表主要尺寸的初步确定中表3节点区双对齿啮合设计
(2) 选定齿数z和模数m 最少齿数的选择,见表小型化设计及实例中表1,选z1=13,则z2=uz1=49.01,取z2=49
(3) 选择变位系数 本例属非零正传动,xh>0。由于受壳体体积限制,采用Δr式中的“小式”。用4个独立的设计变量x1,x2,xt1,xt2作为优化设计的主体。目标函数可选为节点区经常存在双对齿参加啮合,实现既增大强度,又缩小体积的效果。取δ'2>0.15(参看下图) 本例的螺旋角βm=5.5°,接近于零度曲齿锥齿轮。可借用直齿锥齿轮的封闭图(如下图)取x1=0.8,x2=0.3;xS=x1+x2=1.1>0 切向变位无现成的封闭图可借用,只能估算。由于x1=0.8使小齿轮齿顶趋于变尖,可用切向正变位使之加厚,取xt1=0.2 xt2由另一条件确定,即弯曲强度平衡Y1=KY2,或保持标准齿全高,即σ=0。本例采用σ=0,可得xt2=xtS-xt1=0.0312-0.2=-0.1688
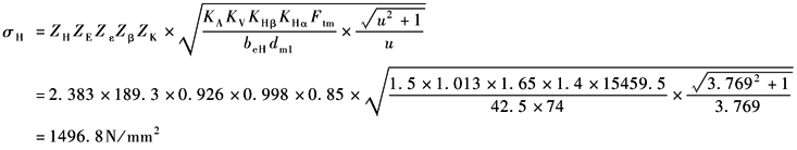
用两个封闭图优选非零变位系数 (4)按新齿形制进行几何计算 (5)强度验算 按表接触强度校核计算进行。可按国标GB/T 10062—1988公式验算。也可按美国标准ANSI/AGMA 2003-A86公式验算,见参考文献[7] 齿面接触强度验算如下 由表接触强度顶校核计算中表1计算接触应力
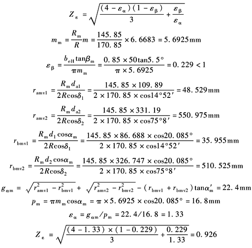
1) 节点区域系数ZH——查表接触强度校核计算中图3或按下式计算
2) 弹性系数ZE,由表弹性系数ZE查得,钢对钢, 3) 重合度系数Zε,由表接触强度校核计算中表2
4) 螺旋角系数 5) 有效宽度beH=beF=0.85b=0.85×50=42.5mm 6) 锥齿轮系数ZK=0.85 7) 使用系数KA=1.5 8) 齿宽中点分锥上的圆周力
9) 动载系数由式(xh=xS+0.5xtScosαt≠0)即KV=NK+1
齿宽中点分锥上的圆周速度
10) 齿向载荷分布系数KHβ=1.5KHβbe=1.5×1.1=1.65(KHβbe由表接触强度校核计算中表6查得) 11) 齿间载荷分配系数KHα。因 12) 润滑剂系数ZL。由表润滑油膜影响系数ZL、Zv、ZR中图1,40号机械油,50℃时的平均运动黏度υ50=40mm2/s,对σHlim=1500N/mm2>1200的淬硬钢ZL≈0.95 13) 速度系数Zv。由表润滑油膜影响系数ZL、Zv、ZR中图2,当υtm>2.58m/s,σHlim>1200N/mm2时,Zv≈0.97 14) 粗糙度系数ZR。由表接触强度校核计算(8)的图中,当Rz100≈3.6μm,σHlim>1200N/mm2时,ZR≈0.98 15) 温度系数ZT取为1 16) 尺寸系数ZX取为1 17) 最小安全系数SHmin。当失效概率为1%时,SHmin=1 18) 极限应力值σHlim。由表试验齿轮的接触疲劳极限σHlim中图4 20CrMrTi,齿面硬度58~62HRC时,按MQ取值,σHlim=1500N/mm2用上述数据代入
由于ISO公式未考虑非零变位的影响。而实际上本例采用了“节点区至少有两对齿保持啮合”,故需按表主要尺寸的初步确定中表1进行修正,即取变位类型影响系数Zb=0.85修正 修正后σ'H=ZbσH=0.85×1496.8≈1272N/mm2 即SH=σHP/σH≈1.07>SHmin,故安全 齿根弯曲强度验算如下(由表弯曲强度校核计算计算) 齿根弯曲应力
1) 齿向载荷分布系数KFβ=KHβ=1.65 2) 齿间载荷分配系数KFα=KHα=1.4 3) 有效宽度beF=beH=0.856=42.5 4) 最小安全系数SFmin。若按国标取1,按失效率1%(见表最小安全系数)(而按DIN 3991取1.4),根据传动件重要程度在1~1.4之间选择 5) 应力修正系数YST=2 6) 锥齿轮系数YK=1 7) 中点法向模数mnm=mmcosβm=5.6925cos5.5°≈5.666 8) 齿廓系数YFa
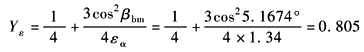
9) 应力修正数YSa。由表弯曲强度校核计算图2得,YSa1=2.03,YSa2=2.14 10) 重合度系数Yε。由式(
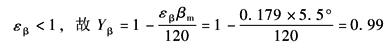
11) 螺旋角系数Yβ。由式(
12) 相对齿根圆角敏感系数YδrelT。根据表相对齿根圆角敏感系数YδrelT中图1,由YSa1=2.03,得YδrelT1=1.015;由YSa2=2.14,得YδrelT2=1.020 13) 相对齿根表面状况系数YRrelT。由表相对齿根表面状况系数YRrelT中图,YRrelT=1.674-0.529(Rz+1)0.1=1.02 14) 尺寸系数YX。由表强度弯曲尺寸系数YX中表,令mnm=5.55,YX=1.05-0.01mnm=0.995 15) 弯曲极限应力值σFlim。由表试验齿轮的弯曲疲劳极限σFlim中图1~图5,MQ为σFlim=470N/mm2,ML为σFlim=320N/mm2 考虑到我国钢材的弯曲强度偏低,可靠性差,建议取平均值,σFlim=400N/mm2。又KA=1.5,Kβ=1.013,将上述有关值,分别代入表接触强度校核计算中表1,可得: 小轮计算齿根应力σF1=KAKVKFβKFαFtmYFaYSaYεYβYK/(beFmnm) =1.5×1.013×1.65×1.4×15459.5×2.03×2.03×0.805×0.99×1/(42.5×5.666)=740N/mm2 大轮计算齿根应力σF2=σF1YFa2YSa2/(YFa1YSa1)=740×2.09×2.14/(2.03×2.03)=803N/mm2 小轮许用齿根应力σFp1=σFlimYSTYRrelTYXYδrelT1/SFmin=400×2×1.02×0.995×1.015/1=824N/mm2 大轮许用齿根应力σFp2=σFp1YδrelT2/YδrelT1=824×1.02/1.015=828N/mm2 可见,均通过(σF<σFp)实际安全系数 SF1=σFp1/σF1=1.11 SF2=σFp2/σF2=1.03 |











